Tröghetsmoment, skillnaden mellan teoretiskt värde
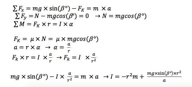
Jag har kunnat beräkna tröghetsmomentet för en en kula som rullar nedför en backe på följande sätt:


Men om jag jämför (med en känd radie) med det teoretiska värdet så blir det ju inte exakt samma värde. Finns det någon anledning till detta? Jag förstår att tillvägagångssättet är annorlunda (integraler) men, det borde väl ändå ge samma värde, eller? Jag tänker att man inte tar hänsyn till exempelvis friktionskraften i bestämning av det teoretiska tröghetsmomentet, kan detta stämma?
Nej. Tröghetsmomentet beror endast av föremålets form och massfördelning.
Du antar att kulan rullar utan att slira när du tar fram sambandet mellan acceleration och vinkelacceleration.
Med det antagandet kan du räkna ut vad Fk och accelerationen a skall bli med vetskap om I.
Sedan får du kolla att friktionen är tillräckligt stor för att ditt antagande faktiskt skall gälla.
Notera att i ditt uttryck har du ju fortfarande accelerationen a i formeln. Och du har ju inte räknat fram något värde på denna, så du vet ju ingenting om I. I praktiken är det förstås så att a får precis det värde som gör att I i din formel får rätt värde. Fast det är ju ett helt bakvänt sätt att tänka.
PATENTERAMERA skrev:Nej. Tröghetsmomentet beror endast av föremålets form och massfördelning.
Du antar att kulan rullar utan att slira när du tar fram sambandet mellan acceleration och vinkelacceleration.
Med det antagandet kan du räkna ut vad Fk och accelerationen a skall bli med vetskap om I.
Sedan får du kolla att friktionen är tillräckligt stor för att ditt antagande faktiskt skall gälla.
Notera att i ditt uttryck har du ju fortfarande accelerationen a i formeln. Och du har ju inte räknat fram något värde på denna, så du vet ju ingenting om I. I praktiken är det förstås så att a får precis det värde som gör att I i din formel får rätt värde. Fast det är ju ett helt bakvänt sätt att tänka.
Jag glömde att säga att accelerationen också är känd, och att jag utgått ifrån att kulan inte slirar då . Men jag förstår fortfarande inte riktigt varför svaren inte helt överensstämmer med varandra.
Har du beräknat att med det riktiga värdet på tröghetsmoment?
Men jag förstår fortfarande inte riktigt varför svaren inte helt överensstämmer med varandra.
Var har du fått ditt värde på accelerationen ifrån?
Är detta tänkt att vara ett sätt för att experimentellt bestämma I? I så fall har du ju alltid mätfel. Så en exakt överensstämmelse kan man inte förvänta sig. Dessutom har vi inte tagit hänsyn till komplicerade saker som rullningsmotstånd och luftmotstånd i vår modell, så detta kan också påverka.