Tryck och lyftkraft. (konstant hastighet)
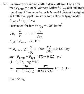
Frågan lyder "Lotta ska dra upp ett ankare av järn från vattnet. När hon drar med kraften 470 N lyfts ankaret med konstant hastighet mot ytan. Hur mycket väger ankaret?" Jag förstår inte steget där : (1-0,127)x mg=470 från steget i lösningsförslaget där nedan. De bör vara något jag missat

Hur har du tänkt själv? Det står i Pluggakutens regler att du skall visa hur du har försökt och hur långt du har kommit. Det står också att rubriken skall berätta vad frågan handlar om, men åtminstone jag begriper inte alls hur "Try" gör detta (antingen är try en buske, eller "varför" på engelska). Du kan själv fixa rubriken genom att redigera ditt förstainlägg. /moderator
Börja med att rita en bild som visar situationen. Vad kan man säga om krafterna på ankaret, när man vet att ankarets hastighet är konstant?
Ja absolut kan jag reglerna. Jag har skrivit upp alla steg fram till detta då jag inte förstod vart ett kom ifrån?
Det hade du inte när jag började skriva mitt inlägg. /moderator
På raden innan står det att mg = FLotta + Flyft . Vi vet att FLotta = 470 N och Flyft = 0,127mg. Sätt in värdena:
mg = 470+0,127mg. Subtrahera 0,127mg från båda sidor. Då får du mg-0,127mg = 470.
Bryt ut mg. Det blir (1-0,127)mg = 470. Hänger du med på resten?
Du behöver inte fundera på trycket i den hrä uppgiften.
Hej !
Så om jag förstått rätt är 1 ifrån att man bryttit ut mg ?