3
svar
109
visningar
Tryck

Hej!
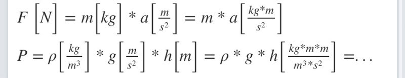
Det är min fråga och jag ska veta är jag svarar rätt eller fel?
Du redovisar din lösning på ett sätt som jag inte förstår alls. Använd fler ord för att kommunicera hur du tänker.
Kan du hjälpa mig med att resonera
Det är du som skall visa att du kan resonera.
Vad betyder bokstäverna , , och ? Vilken enhet använder man för var och en av storheterna?