Tryck-uppgift, fel i facit?
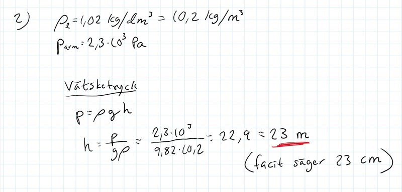
Hallå! Är det jag som räknar fel här, eller är det som jag misstänker, att författarna råkat skriva kg/dm3 i uppgiften istället för kg/m3?


En dm3 är en liter.
En liter rent vatten väger (ganska precis) ett kilo.
Det står rätt i uppgiften. Densiteten för saltlösningen är 1,02 kg/dm3 = 1020 kg/m3.
Ok tack för svar! Det förklarar varför det blev fel! Men jag har en fundering till! Varför räknar man inte med att vätsketrycket är p=p0 + Densitet*g*h? Alltså att man adderar P0. Som man gör vid ett visst havsdjup till exempel, då adderar man ju lufttrycket också ovanför vattnet.
Man är intresserad av tryckskillnaden, inte det absoluta trycket. Om du vill addera P0 på ena sidan måste du addera P0 på andra sidan också, och de tar ju ut varandra.