4 svar
565 visningar
dajamanté 5139 – Fd. Medlem
Postad: 8 jun 2018 06:27

Tumregel för integration med variabelbyte

Jag har spenderat 10 minuter att svettas framför en lätt integral. Jag menar, inte att svettas för att lösa den, bara att bli intimiderad av variabel byte:

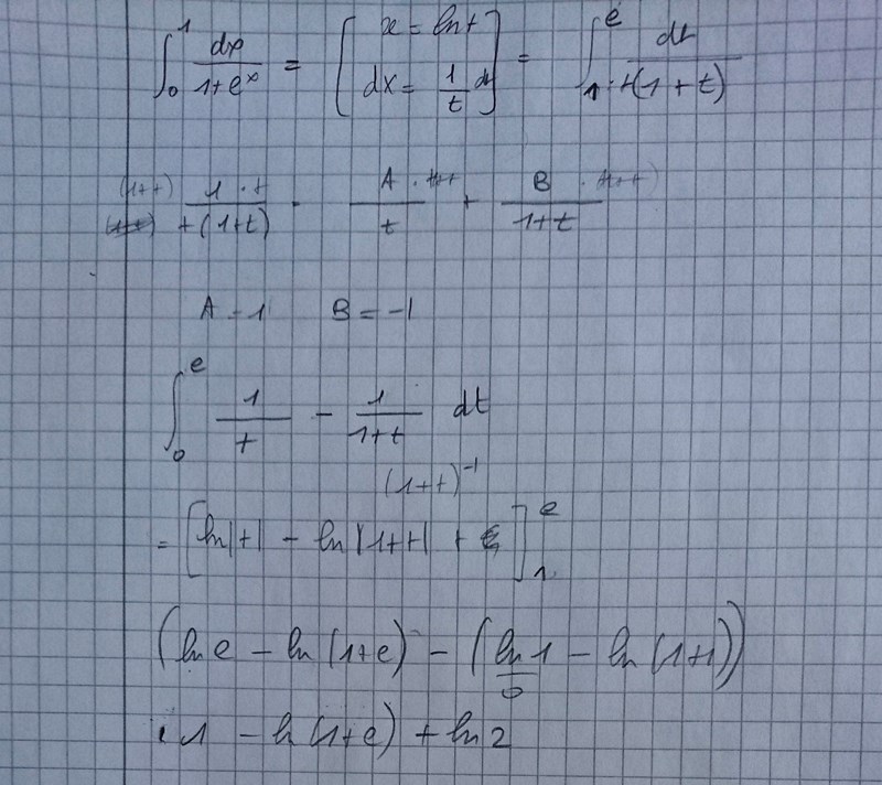
Integralen själv var lätt  01dx1+exmed lösning 1-ln(1+e)+ln2

Så jag skulle vara jättetacksam för tips om hur man tänker när man ser klassiska integraler och variabel byte. När är det tan? När är det arctan? När är det snånting? Hur väljer man gransvärderna (jag brukar slarva där också)?

Alla tips tar jag mycket tacksamt.

 

Min onödig svettig lösning:

AlvinB 4014
Postad: 8 jun 2018 10:54 Redigerad: 8 jun 2018 10:54

Ja, det är ju det som är det svåra med integraler, att veta när man ska tillämpa olika typer av substitutioner. I fallet med integralen som du löst ovan får man nog helt enkelt gissa sig på en substitution t=ext=e^x (vilket är ekvivalent med x=ln(t)x=ln(t)).

En trigonometrisk substitution används ofta för att lösa rot-integraler. Om man har en integral med en rot 1-x2\sqrt{1-x^2} ska man välja sinus- eller cosinusssubstitution, om man har en integral med en rot 1+x2\sqrt{1+x^2} ska man använda tangenssubstitution (eller hyperbolisk sinus!) och om man har en rot x2-1\sqrt{x^2-1} ska man använda en 1/cosinus substitution (eller hyperbolisk cosinus).

"snånting"-substitutioner används ofta för att omvandla en lite mer avancerad rot till en av de ovannämnda som kan lösas med trigonometrisk substitution, eller att ta fram arctan-uttryck på formen 11+x2\frac{1}{1+x^2}. Till exempel:

  • 2-x2\sqrt{2-x^2} kan omvandlas till formen 1-t2\sqrt{1-t^2} med hjälp av substitutionen t=x2t=\frac{x}{\sqrt{2}}
  • 13+x2\frac{1}{3+x^2} kan omvandlas till formen 11+t2\frac{1}{1+t^2} med hjälp av substitutionen t=x3t=\frac{x}{\sqrt{3}}
dajamanté 5139 – Fd. Medlem
Postad: 8 jun 2018 13:09

Sinh och cosh har jag träffat imorse typ, i den andra tråd ni svarade på... Innan skulle jag ha sagt att det är sin och cos uttalat på arabiska.

 

Ok, men iaf i matte1 måste jag ha koll på om det är 1+x2---> tangens eller 1-x2---> sin/cos?

AlvinB 4014
Postad: 9 jun 2018 14:46

Jag vet inte riktigt vad du menar med "matte 1", men ja, det kan vara bra att ha koll på vilken typ av substitution som är bra för vilken rot:

  • 1-x2\sqrt{1-x^2} \rightarrow sinus- eller cosinussubstitution
  • 1+x2\sqrt{1+x^2} \rightarrow tangens eller hyperbolisk sinus
  • x2-1\sqrt{x^2-1} \rightarrow 1/cosinus eller hyperbolisk cosinus

Om man glömmer kan man alltid se på de olika identiteterna för att förstå vad som kan förenklas till ett kvadratuttryck:

  • 1-cos2(x)=sin2(x)1-\cos^2(x)=\sin^2(x) och 1-sin2(x)=cos2(x)1-\sin^2(x)=\cos^2(x)
  • 1+tan2(x)=1cos2(x)1+\tan^2(x)=\frac{1}{\cos^2(x)} och 1+sinh2(x)=cosh2(x)1+\sinh^2(x)=\cosh^2(x)
  • 1cos2(x)-1=tan2(x)\frac{1}{\cos^2(x)}-1=\tan^2(x) och cosh2(x)-1=sinh2(x)\cosh^2(x)-1=\sinh^2(x)
dajamanté 5139 – Fd. Medlem
Postad: 9 jun 2018 15:27

Jag menade matte 1 på universitet, där det brukar ingå envariabel och lineär algebra :). Men i detta fall, en variabel!

Ush synd att vi inte har hyperbolisk sinus och cosinus på programmet, jag måste göra fler uppgifter!

Svara
Close