0
svar
81
visningar
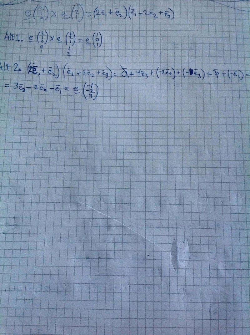
Två lösningar, båda helt fel.
Tror jag snurrat till mina beräkningar väldigt fel.

Hur ska jag tänka för att det ska lösa sog på korrekt sätt?
Tacksam för hjälp.