Två personer på en gungbräda (momentjämnvikt) - vart har jag räknat fel?
Hej,
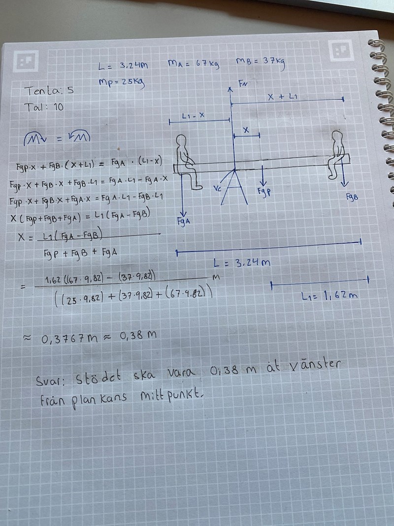
Jag förstår inte vad jag gjort för fel när jag räknar ut denna uppgift. Mitt svar blir att stödet ska vara 1,2m från där person A sitter men facit får det till 1,1 m.




Jag tycker att din lösning är korrekt.
Det är svårt att läsa facits suddiga lösning, men visst borde det stå här istället (rödmarkerat)?
I så fall är lösningen i facit fel.

Kan det vara avrundningen?
I alla fall blir risken att göra räknefel mindre om du först stryker alla faktorer g=9,82 m/s2.
Jag ska testa göra på det sättet som du skrev men då vet jag att jag inte är helt fel ute iallefall.
Jag fick samma svar när jag strök alla g så då får jag nog kontakta min lärare och fråga.
Läste du mitt svar? Jag pekade där ur vad jag tror är fel i facits lösning.
Lös gärna problemet enligt facits metod men med korrekta värden. Jämför med ditt eget resultat.
Det var fel i facit. Lärarna har rättat svaret i övningstentan nu.