Två punkter
Har jag gjort rätt men hur ska räkna B? 
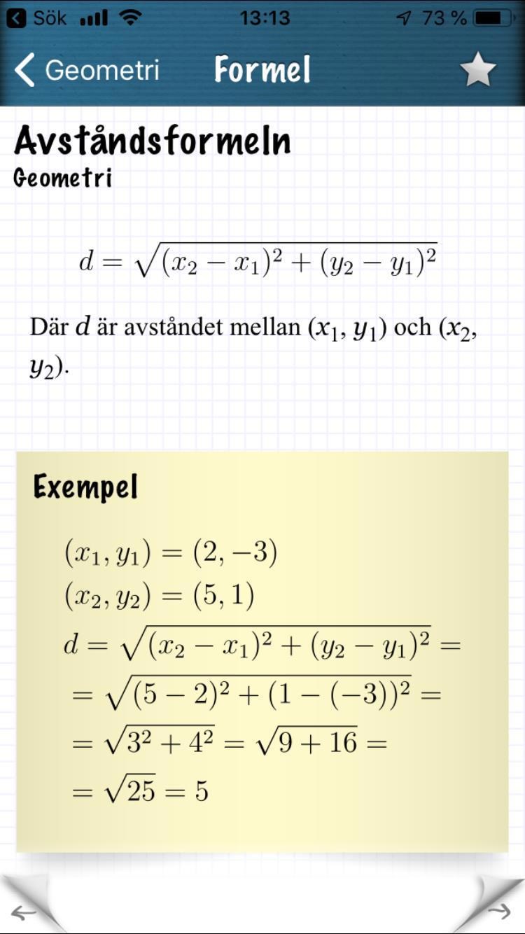
På fråga (b) kan du väl tillämpa avståndsformeln. Det frågas efter hur lång AB är och du har koordinaterna för A respektive B. Prova det! 👱🏻♀️😊😊🌟
Se följande formel:

tomast80 skrev:Se följande formel:
Nu har jag gjort den men va är A då ? 
På a-uppgiften gäller det att hitta ekvationen (på formen y = kx + för den räta linje som går genom de båda punkterna.
Titta på videoklippet jag länkade till här. I slutet av den videon visas just hur man kan ta fram räta linjens ekvation om man har en linje ritad i ett koordinatsystem.
Flr att göra det lättare bör du förlänga linjen ner åt vänster för att se var den skär y-axeln för det är där du hittar m-värdet
Har du kontrollerat dina resultat?
- Om ja, hur?
- Om nej, vet du hur du kan göra det?
Nej hur ? Jag har gjort mitt bästa sen vet inte jag
Varför skriver du att ? Tror du att de kan vara lika?
Ett sätt att kontrollera en sträcka är att mäta den med linjal.
Zahraa95 skrev:Nej hur ? Jag har gjort mitt bästa sen vet inte jag
Så här kan och bör du göra för att kontrollera dina resultat:
a-uppgiften: Här har du kommit fram till att ekvationen är y = 7x - 8.
Kontrollera resultatet så här: Välj två kända punkter och se om de uppfyller ekvationen. Om de gör det är ekvationen rätt, annars inte.
Du har två punkter givna: Punkt A och punkt B.
Punkt A är (2, 6), dvs x = 2, y = 6.
Med dessa värden blir HL i ekvationen lika med 7*2 - 8 = 14 - 8 = 6.
VL blir också 6, så det stämmer.
Punkt B är (1, -1), dvs x = 1, y = -1.
Med dessa värden blir HL i ekvationen lika med 7*1 - 8 = 7 - 8 = -1.
VL blir också -1, så det stämmer också
Alltså är ekvationen rätt.
----------
b-uppgiften: Här är det lite svårare att kontrollera om resultatet är rätt eller inte, men vi kan ju börja med att se om resultatet verkar rimligt.
Du har kommit fram till att avståndet , dvs .
Titta i figuren. Verkar det rimligt att avståndet mellan A och B är 5 längdenheter (rutbredder)?
Se bild:

Svar nej. Den svarta triangeln är en rätvinklig triangel med katetlängder 7 och 1. Hypotenusan måste vara längre än båda kateterna. Här har det alktså blivit fel någonstans. Kan du själv hitta felet?
Tips - du har använt avståndsformeln rätt men det har blivit fel när du förenklar resultatet på slutet.
---------
c-uppgiften: Här är det också lite svårare att kontrollera att den punkt du fått fram verkligen är just mittpunkten, men du kan åtminstone pricka in punkten i din graf och dels se om den verkar ligga på linjen och dels om den verkar ligga ungefär mitt på sträckan mellan A och B.
- Nu har jag rätt till B
- men c fattar inte fortfarande vad felet ligger jag har kollat med linjalen så är mittpunkten är 2 mellan A o B

Varför tror du att det är fel på c-uppgiften?
Zahraa95 skrev:
- Nu har jag rätt till B.
[...]
är rätt, men det är inte lika med 7.
Om du vill svara med ett närmevärde måste du använda tecknet "ungefär lika med", så här:
Men det är snyggare att svara med ett exakt värde, och då kan du förenkla så här:
