Två reella rötter
Hur ska jag få två reella rötter av det här, undrar jag? Jag är dålig i matte. Jag vet att två reella rötter betyder att man ska få fram två nollställen. Jag tror att detta handlar om diskriminanten det som är under rot tecknet och i täljaren. Behöver mycket ledtråd för att kunna lösa uppgiften eller något liknande. 
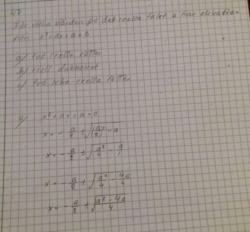
Maarit skrev :Hur ska jag få två reella rötter av det här, undrar jag? Jag är dålig i matte. Jag vet att två reella rötter betyder att man ska få fram två nollställen. Jag tror att detta handlar om diskriminanten det som är under rot tecknet och i täljaren. Behöver mycket ledtråd för att kunna lösa uppgiften eller något liknande.
Hej och välkommen till Pluggakuten Maarit!
Du har börjat bra och du har rätt i funderingarna om diskriminanten.
Diskriminanten är det som står under rotenur-tecknet i pq-formeln, dvs det uttryck du har förenklat till (a^2 - 4a)/4.
Följande gäller:
- Om diskriminanten är större än 0 så har ekvationen två olika reella rötter.
- Om diskriminanten är lika med 0 så har ekvationen en reell dubbelrot.
- Om diskriminanten är mindre än 0 så har ekvationen inga reella rötter (men däremot två olika komplexa rötter).
Du kan läsa mer om detta här.
Tack för det här!