Tre till LaTex frågor (Texmaker)
Hur gör man 1.parentes (mitt i en matematisk uttryck) och 2.mellanslag?
Jag har försökt göra parenthesis med \big(, men det blev ingenting av det.
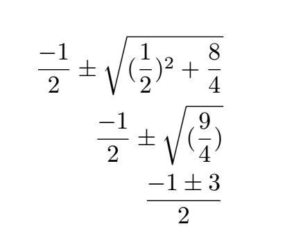
Min text ser ut såhär:
\begin{align}
\frac{-1}{2} \pm \sqrt{(\frac{1}{2})^{2}+\frac{8}{4}} \
\medskip
\frac{-1}{2} \pm \sqrt{(\frac{9}{4})} \
\medskip
\frac{-1 \pm 3}{2}
\end{align}
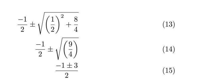
Min PDF ser ut såhär:

3.Och tredje och sista fråga (i Edit mode :)*
Jag har hittat hur man skriver matematiska uttryck i fetstil:
... Men nu har jag ordet och klistrad mot båda och . Det är ganska ful.

Om jag stänger math environment efter och innan blir det på tre rad!

Hur kan man lägga till lite andningsrum i denna mening?
Hej!
Skriv
\[
x=1 \text{ eller } x=\left( \int_{t=1}^{\infty} e^{-t}\,\text{d}t \right)
\]
Tack tack tack!
Det blev mycket options!
Hur ger jag mer andningsytrumme OCH större parentes till min pa formel? Alltså vertikal spacing?

Om du skriver
\left( \frac{x}{y} \right)
blir patentesen "så stor som det behövs".
Jag testar...!
Yay!
Supersnygg!

Nu saknar det bara lite vertikal utrymme mellan ekvationerna och min först inlämningsuppgift kan skickas!
Några tips:
- Om du vill slippa numreringen kan du använda align*-miljön i stället för align.
- Det är snyggare att byta rad med \\ i stället för \medskip.
- Om man använder \\ kan man be LaTeX lägga till extra avstånd genom att skriva exempelvis \\[0.5em]. Detta betyder att ett vertikalt mellanrum motsvarande 0.5 gånger höjden av motstaven M läggs till.
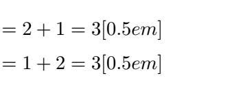
Exempel 1:


Exempel 2:


Tackar!
Mycket inspirerande föreläsningar!
Och nu ser jag äntligen sklillnaden mellan {align*}{align} och {aligned}!
Tyvärr o.5em funkade inte hos mig men jag körde med \\.

Samma för & tecken. Min latex vägrar den:

Hmm, intressant. Det borde verkligen fungera.
Det enklaste är nog om du kollar hur jag hade lagt upp ett typiskt dokument av den här typen:
https://www.sharelatex.com/read/dybxkqzgzhhb
Jämför med ditt eget dokument.
Otroligt bra LaTex sida med övertygande figur!
