tvåvariabelsanalys
hej har försökt med denna uppgift länge men kommer bara såhär långt, 
vet heller inte om jag tänkt rätt här. I uppgeften ska jag även undersöka randen och eventuella hörnpunkter, samt att jag ska infoga en bild på det ritade området. hur löser jag detta?
Om vi börjar med att rita en bild av området får vi
Röda är 1/2<x<2 och blå är 1/2x<y<2. Nu båda partiella derivatorna är noll då x=y=1 så vi får f(x,y)=ln(1)+ln(1)-1-1=0+0-1-1=-2 i denna punkt. Måste som du säger även kolla randen så vi börjar med den enkla vertikala linjen från (2,1/4) till (2,2), den andra enkla linjen är horizontel från (1/4,2) till (2,2), sen måste vi också kolla på funktionsvärderna runt den lite svårare kurvan 1/2x mellan x=1/4 till x=2. Jag förklarade ganska dålig men fattar du?
Börjar förstå lite iallafall men inte helt, du skrev Röda är 1/2<x<2 men visst är det 1/4<x<2?
men jag försår inte vad är det man vill kolla med randen? alltså den vertikala och horisontella samt den svårare kurvan, som du skrev
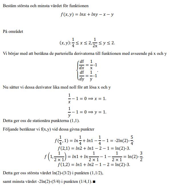
jag vet inte riktigt hur man löser det steget i uppgiften.
Absolut vi kör steg för steg!
För att låsa sånna här uppgfiter kollar vi på alla stationära punkter i vårt område, alltså alla punkter i vårt område så
Sen måste vi kolla på funktions värdet på randen av vårt område. Nu för att skissa upp vårt område rita först områden 1/4<x<2 som är
Och 1/(2x)<y<2 är

Vårt område är nu där dessa två grafer överensstämmer alltså området inom denna(fula) bild

Först den vertikala linjen, alltså den mellan (2,1/4) och (2,2). På denna kurvan har funktionen värdet för y mellan 1/4 och 2, detta är en funktion av en variabel vi kan optimera
För den horizontella linjen, alltså den mellan (1/4,2) och (2,2) vår funktion är här för x mellan 1/4 och 2, vilket vi igen kan optimera.
Sist på kurvan för x mellan 1/4 och 2 kommer vår funktion vara vilket vi kan optimera med derivata.
Sen när du vet maximala värdet av funktionen på randen jämför du det värdet med funktionens värde på stationära punkten(punkterna) och kollar vilken som blir minst respektive störst.
vad menar du med att vi kan optimera?
Sorry var otydlig. Jag menar vi kan hitta största/minst värdet av funktionen med derivata och teckenstudie(som man gjorde i matte 3)
när jag ska derivera låt säga f(2,y)=ln(2)+ln(y)-2-y får jag (1/y)-1. är det rätt eller ska jag göra med avseende på x och y?
Du ska derivera med avssende på y i detta fall, f(2,y)=ln(2)+ln(y)-2-y är ju en funktion av bara y.
blir derivatan av detta då 1/y-1
ser det här rätt ut?

