Tyngdpunkts koordinater
Hej, jag sitter med den här frågan:

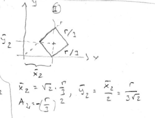
Började med att dela upp de, dvs beräkna den cirkulära delen för sig och den kvadratiska delen för sig. Den cirkulära delen var inga konstigheter, den har jag fått fram koordinaterna för. Men jag vet inte riktigt hur jag skall göra för den kvadratiska delen. Detta är lösningsförslaget vi fått, men jag förstår inte hur man tar fram dessa x koordinater för den kvadratiska delen:

Förstår inte vart roten ur 2 kommer ifrån, någon som vet
Edit: Hade kvadraten varit förankrad till y axeln hade x koordinaten då varit r/3/2, men eftersom jag inte vet avståndet från y axeln vet jag inte hur jag skall göra
Diagonalen i en kvadrat är gånger längre än sidan.
Laguna skrev:Diagonalen i en kvadrat är gånger längre än sidan.
Varför multiplicerar man diagonalen med sidan då? TP för en kvadrat är väl bara sida/2?
Du ser ju var den punkten är. Den är halvvägs upp på diagonalen.
Om kvadraten stod med en sida på x-axeln skulle det bli sidan/2.
Laguna skrev:Du ser ju var den punkten är. Den är halvvägs upp på diagonalen.
Om kvadraten stod med en sida på x-axeln skulle det bli sidan/2.
Då förstår jag, tack!