Udda eller jämn funktion
Enligt facit är den udda men jag får det till jämn funktion. 
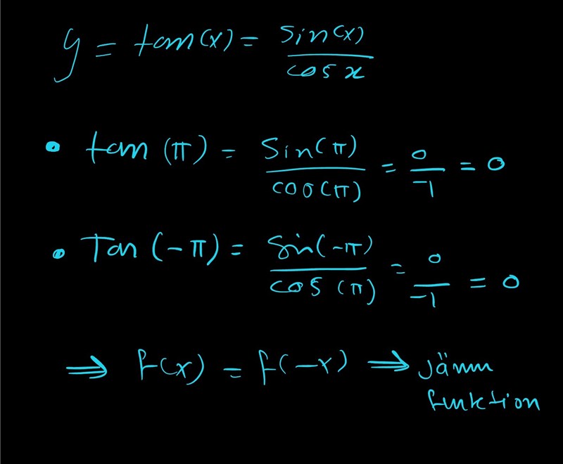
För att funktionen ska vara jämn måste det gälla att f(x) = f(-x) för alla möjliga värden på x.
Du har valt ett specifikt värde på x för vilket det råkar gälla att f(x) = f(-x).
Pröva gärna x = pi/4. Hur blir det då?
Yngve skrev:För att funktionen ska vara jämn måste det gälla att f(x) = f(-x) för alla möjliga värden på x.
Du har valt ett specifikt värde på x för vilket det råkar gälla att f(x) = f(-x).
Pröva gärna x = pi/4. Hur blir det då?
Då fattar jag. Jag visste inte att det ska gälla för alla möjliga värden på x.
Jag har en fråga till om samma område. Jag förstår inte riktigt vad som står här. Om ena termen är udda och andra termen är jämn vad blir f(x).
