Udda utskrivning av maclaurin
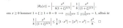
Har lite svårt att tolka en utskrivning av maclaurinformeln. Båda syftet med uppgifterna nedan är att bevisa att en restterm är mindre än den slutgiltiga termen som visas på båda sidor (ber om ursäkt för dålig upplösning på bild 2, men lade endast in den för ytterligare exemplifiering). Problemet för mig uppkomer när han ska dra en slutsats ang. det bestämda värdet på x. Om x är större än 0 varför måste då bli 0? Samma gäller på bild 2. Om |x| är mindre än 1/2 vad blir ξ då? Jag kanske har misstolkat det han skrivit, men förstår verkligen inte olikheterna. Tacksam för hjälp.


Nyckeln här är att xi är begränsat till intervallet [0,x] eller [x,0] om x är negativt.
I första fallet vet vi att x>=0, därmed gäller det att xi tillhör [0,x] och specifikt gäller det att xi>=0.
I andra fallet är |x|<=1/2, vilket innebär att -0.5<=x<=0.5. Därmed är -0.5<=xi<=0.5
Calle_K skrev:Nyckeln här är att xi är begränsat till intervallet [0,x] eller [x,0] om x är negativt.
I första fallet vet vi att x>=0, därmed gäller det att xi tillhör [0,x] och specifikt gäller det att xi>=0.
I andra fallet är |x|<=1/2, vilket innebär att -0.5<=x<=0.5. Därmed är -0.5<=xi<=0.5
Ok, tack! Vad innebär symbolerna efter x? Är det en olikhet?
Menar du xi? Xi är .
swaggerdabber44 skrev:Ok, tack! Vad innebär symbolerna efter x? Är det en olikhet?
Japp.
>= är - Större än eller lika med.
<= är - Mindre än eller lika med.
SaintVenant skrev:swaggerdabber44 skrev:Ok, tack! Vad innebär symbolerna efter x? Är det en olikhet?
Japp.
>= är - Större än eller lika med.
<= är - Mindre än eller lika med.
Ok, tack!
Så skriver man i de flesta programmeringsspråk som har dessa operatorer också.
Ibland får <= bli =< i stället för att man vill använda det första som en pil i stället.