Underrum (2)
Jag vet inte hur jag ska tänka! Några hint?

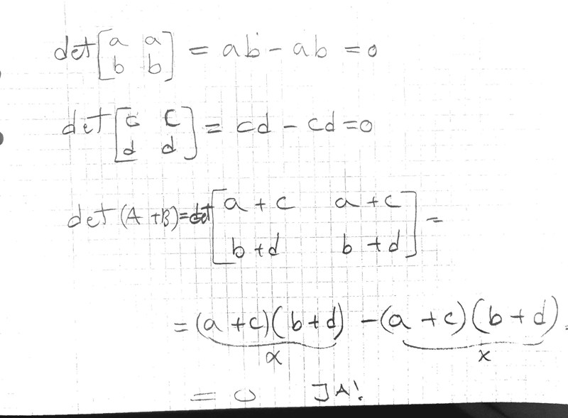
Du ska testa om två detA=0 matriser adderade med varandra ger en till matris med det=0. Sedan ska du testa om en skalär gånger en det=0 matris åter ger en det=0 matris.
Yes?
yES!

Lite slarvigt med typ så.
Som Aerius sa i förra tråden så gäller det att om du vill bevisa att påståendet är sant så måste du göra det generellt, men om du vill motbevisa så räcker ett motexempel. I detta fall har du gett ett "för"exempel, men det räcker inte.
Du behöver visa att det(A+B)=0 för alla matriser A,B där det gäller att detA=detB=0.
För multiplikation med skalär så har du gjort rätt, du visar att likheten gäller för alla möjliga lambda, bra!
Hej Soderstrom,
Determinanten är inte en linjär avbildning, så det går inte att påstå att bara för att -matriserna och B saknar invers så följer det att summan saknar invers också. Du har hittat ett exempel där det råkar stämma. Ett exempel där det inte stämmer ges av matriserna och
Däremot gäller det att .
Nu är ni nog nöjda och glada! Jag har alltid jobbat generellt i matte men just i linjär algebra har jag ibland svårt att inse om man ska jobba generellt eller inte...

Soderstrom skrev:Nu är ni nog nöjda och glada! Jag har alltid jobbat generellt i matte men just i linjär algebra har jag ibland svårt att inse om man ska jobba generellt eller inte...
Snyggt! Meeen det är fortfarande inte en linjär avbildning, kolla Albikis svar.
Vad är det som saknas? Förstår inte riktigt.
A = , detA = 0.
B = , detB = 0.
A+B = , det(A+B) = 9.
Slutsats?
PATENTERAMERA skrev:A = , detA = 0.
B = , detB = 0.
A+B = , det(A+B) = 9.
Slutsats?
Haha! Ja! Men jag förstår forfarande inte vad som krävs trots att jag jobbade generellt:(
Du var helt enkelt inte tillräckligt generell. Din ansats fångade inte in alla matriser vars determinant blir noll.
Dina två matriser är inte allmäna ju! Inte tillräckligt allmänt med andra ord.
Angående det här med allmänt eller inte, det gäller ju överallt i livet. Om jag påstår att alla stockholmare bär mössa så är det svårare för mig att bevisa än för dig att motbevisa. Om jag ska bevisa det behöver jag visa dig att alla i stockholm bär mössa, medan om du vill motbevisa mig så behöver du endast ta fram en mösslös person. Förstår du? Det du har gjort här är att välja 10 stockholmare med mössa och säga "ja, då är beviset färdigt, alla stockholmare har mössa", då har du ju inte kollat på alla! Dessa tio personer må ha mössa, det påståendet är sant, men det implicerar inte att alla stockholmare bär mössa.
Ifall du har glömt så är en matris inverterbarhet ekvivalent med nollskild determinant, det är det Albiki talar om.
PATENTERAMERA skrev:Du var helt enkelt inte tillräckligt generell. Din ansats fångade inte in alla matriser vars determinant blir noll.
Så jag måste skriva att Mina matriser måste sakna invers? För att jag lärde mig att en matris vars determinant är 0, saknar invers. Eller?
Qetsiyah skrev:Dina två matriser är inte allmäna ju! Inte tillräckligt allmänt med andra ord.
Angående det här med allmänt eller inte, det gäller ju överallt i livet. Om jag påstår att alla stockholmare bär mössa så är det svårare för mig att bevisa än för dig att motbevisa. Om jag ska bevisa det behöver jag visa dig att alla i stockholm bär mössa, medan om du vill motbevisa mig så behöver du endast ta fram en mösslös person. Förstår du? Det du har gjort här är att välja 10 stockholmare med mössa och säga "ja, då är beviset färdigt, alla stockholmare har mössa", då har du ju inte kollat på alla! Dessa tio personer må ha mössa, det påståendet är sant, men det implicerar inte att alla stockholmare bär mössa.
Ifall du har glömt så är en matris inverterbarhet ekvivalent med nollskild determinant, det är det Albiki talar om.
Hahaha! Bra exempel. Ja, jag är med på att en matris vars determinant är noll saknar invers, men hur ska jag få det i uppgiften?
Skriv två matriser med element a, b, c, d, e, f, g, h och ta determinanterna och sätt lika med noll. Detta kommer ge två likheter med HL=0.
Sedan adderar du och tar determinanten. Visa att determinanten inte måste vara noll pga föregående två likheter.
Eller, ta PATENTERAMERAs motbevis, det är enklare. Men hur kom du på den PATENTERAMERA?
Svårigheten med detta problem är väl att man från början skall inse att det troligen inte är ett underrum och därför aktivt leta efter ett motbevis. Tex med utgångspunkt i Albikis insikt att detA inte är en linjär avbildning från M till . Om det varit en linjär avbildning så hade saken varit biff, eftersom nollrummet till en linjär avbildning alltid är ett underrum. Notera att Albiki hade ett annat motexempel.
Qetsiyah skrev:Skriv två matriser med element a, b, c, d, e, f, g, h och ta determinanterna och sätt lika med noll. Detta kommer ge två likheter med HL=0.
Sedan adderar du och tar determinanten. Visa att determinanten inte måste vara noll pga föregående två likheter.
Eller, ta PATENTERAMERAs motbevis, det är enklare. Men hur kom du på den PATENTERAMERA?
Jag gjorde så nu. Svaret är att det(A+B) inte är =0 vilket betyder att mängden inte är ett underrum!
Jaha! Trevligt!
Kolla dock även Albikis observation, den är väldigt elegant. Lösningen jag föreslog är ganska brute force och om det hade handlat om 3x3eller större hade det inte funkat.
Den går ut på att betrakta det() som en funktion fråm M2x2 till R och checka om den är linjär. Om den är linjär så måste det innebära att nollrummet är ett underrum.
Men visar ett motexempel med 2x2 att determinanten är olinjär i alla storlekar? Hur visar man att Mnxn med det=0 inte är ett underrum för alla n samtidigt?
Jag förstår inte vad "Determinanten är inte en linjär avbildning" betyder i detta sammanhang.
EDIT: Vi kanske inte har gått igenom det Albiki skriver "Determinanten är inte en linjär avbildning". Men är det något man ska kunna i linjär algebra 1?
Asså... det här är inte enkelt att förstå om du inte är bekväm med linalg. Hänger du med på att determinanten är en funktion? Den mappar från R2x2 till R. Vi vill veta om den funktionen är linjär, alltså om f(a+b)=f(a)+f(b), tycker inte du att det ser misstänkt likt ut det vi håller på med? Tänk dig det() istället för f().
Determinanten för en matris är en fuktion. Ja. Men jag hänger fortfarande inte med tyvärr.
Det är en funktion. Vi undrar om det är en linjär funktion. Om det() var linjär så skulle det innebära att detA+detB=detA+B. Alltså att detA+B nödvändigtvis måste vara lika med 0 om detA, detB=0.
En roligare formulering är att om det() är linjär måste kärnan i dess definitionsmängd (M2x2) vara ett underrum!
Ok! Men jag kom fram till att det inte är ett underrum. Stämmer det?
Yes det stämmer!