Underrum (4)
Har jag tänkt rätt?

Hej,
Nej du har tänkt fel. Du har låtit talet vara indata till polynomfunktionen , när det ska vara koefficienter som multipliceras på
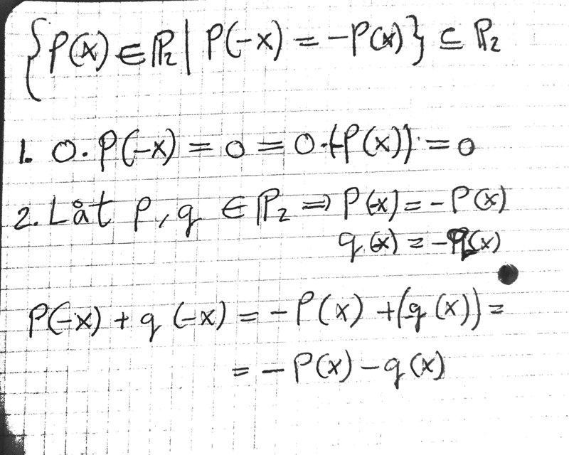
- Du ska visa att noll-polynomet finns i mängden.
- Du ska visa att om och är polynom i mängden så är polynomet också ett element i mängden.
- Du ska visa att om är ett polynom i mängden och är ett tal så är polynomet också ett element i mängden.
Har jag ens gjort rätt?

bump
Jag tycker det ser rätt ut. Har du visat 3?
Nej! Har inte visat 3:an, men vad konstaterar vi i 2:an?
Om du bryter ut minuset så kan vi se att du började med ett minus på x, och fick fram samma polynom med minus framför istället. Så p+q tillhör mängden.
Hej Soderstrom,
Nej det är inte rätt.
1. Nollpolynomet får du inte genom att multiplicera ett godtyckligt polynom med talet 0.
Nollpolynomet är det polynom som ger 0 oavsett vad är. Detta polynom är ett element i mängden eftersom och varför
2. Din mängd är inte lika med utan snarare en delmängd () till Du väljer två polynomfunktioner och från denna delmängd och studerar polynomfunktionen , som ju är en polynomfunktion i eller hur? Du är intresserad av att undersöka talet och se om det är lika med talet
Detta visar att om så följer det att
3. Låt och välj ett godtyckligt Då är en polynomfunktion i , eller hur? Frågan är om har den önskvärda egenskapen att talet ?