Undersök funktionenđ(đ„)=đ„3+3đ„22â6đ„â3med hjĂ€lp av derivata.
hur ska jag göra för att lösa a respektive b? förstÄr verkligen inte
a) I vilket/vilka intervall Àr funktionen vÀxande resp avtagande?
b) Vilka och vilken sorts extrempunkter har funktionen?
Du anvÀnder derivatan för funktionen för att fÄ fram extrempunkterna. DÄ du gjort det kan du skissa grafen och se svaret pÄ a).
Se mer teori hÀr
Henning skrev:Du anvÀnder derivatan för funktionen för att fÄ fram extrempunkterna. DÄ du gjort det kan du skissa grafen och se svaret pÄ a).
Se mer teori hÀr
nÀr jag derivera fick jag 3x^2+(6x/22)-6 stÀmmer det?
Mittentermen stÀmmer inte.
Du har
3/2 Àr en faktor som inte pÄverkas vid deriveringen. Vad blir derivatan av ?
Henning skrev:Mittentermen stÀmmer inte.
Du har3/2 Àr en faktor som inte pÄverkas vid deriveringen. Vad blir derivatan av ?
blir det 3+2x/2 ? men det Àr ju 3x^2 enligt deriveringsreglerna ska de ju blir 6x.... ? hur vet man om man ska rÀka hela talet som jag gjort eller separera talet som du gjorde sen deriverat?
Jag Àr inte sÀker pÄ att jag tolkar dig rÀtt
Om
Ăr vi överens dĂ€r?
Henning skrev:Jag Àr inte sÀker pÄ att jag tolkar dig rÀtt
Om
Ăr vi överens dĂ€r?
alltsÄ de Àr 3x2/2 som du sÀger 3x2 blir vÀl 2*3x=6x ? hur vet man om man ska rÀkna ihop allt som jag gjorde precis eller om man ska faktorisera som du gjort
Glömmer du 2-an i nÀmnaren? Dvs du mÄste dividera med 2 och dÄ blir termen totalt 3x
Henning skrev:Glömmer du 2-an i nÀmnaren? Dvs du mÄste dividera med 2 och dÄ blir termen totalt 3x
ok dÄ förstÄr jag dÄ ja vi 3x2+3x-6 hur forsÀtter jag nu?
Nu ska du bestÀmma nollstÀllen för derivatan och det gör du genom att sÀtta den =0
Och lösa den 2-gradsekvation du fÄr.
Vad fÄr du för nollstÀllen?
Henning skrev:Nu ska du bestÀmma nollstÀllen för derivatan och det gör du genom att sÀtta den =0
Och lösa den 2-gradsekvation du fÄr.
Vad fÄr du för nollstÀllen?
jag fÄr det till x=-0,5
hur fortsÀtter jag?
Jag tror du gjorde fel under rottecknet. Visa hur du rÀknade.
Laguna skrev:Jag tror du gjorde fel under rottecknet. Visa hur du rÀknade.

Det ska vara -0,52 som sista term i kvadratkompletteringen.
Laguna skrev:Det ska vara -0,52 som sista term i kvadratkompletteringen.
vad menar du? jag tog ju roten ur?
Roten ur kommer senare.
Visa hur du gjorde din kvadratkomplettering, i flera steg.
Laguna skrev:Roten ur kommer senare.
Visa hur du gjorde din kvadratkomplettering, i flera steg.
kolla bilden högre upp har ju visat
Utveckla (x+0,5)2 - 2 + 0,52 och se om du fÄr x2 + x - 2.
Laguna skrev:Utveckla (x+0,5)2 - 2 + 0,52 och se om du fÄr x2 + x - 2.
förstÄr inte vad du menar
(x+0,5)^2-2+0,5^2=0
(x+0,5)^2-1,75=0
(x+0,5)^2=1,75
vart gör jag fel?
Du har 2-gradsekvationen
Och kvadratkompletterar genom att bilda termen
HÀrmed tillför du termen och mÄste dÄ minska med den termen i samma led.
Dvs
DÀr missade du. Nu kan du fortsÀtta att ta fram rötterna.
Henning skrev:Du har 2-gradsekvationen
Och kvadratkompletterar genom att bilda termen
HÀrmed tillför du termen och mÄste dÄ minska med den termen i samma led.Dvs
DÀr missade du. Nu kan du fortsÀtta att ta fram rötterna.
vadÄ varför ska man minska? om det Àr + tecken i parantes ska man vÀl ocksÄ skriva + tecken utanför parantes?
Ekvation betyder LIKA.
Dvs bÄda sidor Àr lika. Om du adderar
AlltsÄ - för att behÄlla balansen mÄste du subtrahera vÀrdet
Henning skrev:Ekvation betyder LIKA.
Dvs bÄda sidor Àr lika. Om du adderarAlltsÄ - för att behÄlla balansen mÄste du subtrahera vÀrdet
kolla, till exempel om vi har x^2-4 fÄr vi (x-2)2-22 och om vi har x2+4 fÄr vi (x+2)2-22 ?
Prova att utveckla parentesen med kvadreringsregeln sÄ ser du att det stÀmmer:
NÀr man bakar in och i parentesen, sÄ bildas Àven extratermen . Den mÄste man dra bort sÄ man inte Àndrar vÀnsterledets vÀrde. Och oavsett vilket tecken du har inuti parentesen kommer extratermen bli positiv (se kvadreringsreglerna, det Àr pÄ bÄda).
Skaft skrev:Prova att utveckla parentesen med kvadreringsregeln sÄ ser du att det stÀmmer:
NÀr man bakar in och i parentesen, sÄ bildas Àven extratermen . Den mÄste man dra bort sÄ man inte Àndrar vÀnsterledets vÀrde. Och oavsett vilket tecken du har inuti parentesen kommer extratermen bli positiv (se kvadreringsreglerna, det Àr pÄ bÄda).
jag förstÄr inte hur du menar? menar du om det Àr plus i parantes ska det vara minus utanför och om minus i parantes ska det vara plus utanför?
Nej, oavsett vilket tecken det Àr i parentesen sÄ bildas en positiv extraterm. Den behöver dras bort. DÀrför Àr det alltid minus utanför. SÄ kvadratkompletteras till , och kvadratkompletteras till .
Prova gÀrna att utveckla parenteserna, och kontrollera att du fÄr tillbaka i första fallet och i andra.
Skaft skrev:Nej, oavsett vilket tecken det Àr i parentesen sÄ bildas en positiv extraterm. Den behöver dras bort. DÀrför Àr det alltid minus utanför. SÄ kvadratkompletteras till , och kvadratkompletteras till .
Prova gÀrna att utveckla parenteserna, och kontrollera att du fÄr tillbaka i första fallet och i andra.
Jaha dÄ förstÄr jag men spelar de ens nÄgon roll om de plus eller minus dÄ -4^2=16 och +4^2=16?
Det spelar roll eftersom minustecknet inte kvadreras. blir -4, det finns bara ett minustecken sÄ det finns inget "minus minus blir plus" hÀr. Om det stÄtt sÄ skulle det bli 4, eftersom det betyder . DÄ tar minustecknen ut varandra. Men betyder , och blir alltsÄ -4.
Skaft skrev:Det spelar roll eftersom minustecknet inte kvadreras. blir -4, det finns bara ett minustecken sÄ det finns inget "minus minus blir plus" hÀr. Om det stÄtt sÄ skulle det bli 4, eftersom det betyder . DÄ tar minustecknen ut varandra. Men betyder , och blir alltsÄ -4.
Ok har jag förstÄr rÀtt att om det Àr minus i parantes dÄ blir det plus som du sÀger och om de inte Àr parantes sÄ förblir de minus
Ja. Eftersom, i Àr det tvÄ minustecken. I Àr det bara ett.
Skaft skrev:Ja. Eftersom, i Àr det tvÄ minustecken. I Àr det bara ett.
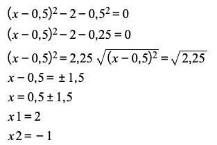
stÀmmer nollpunkterna?
Nej - för du utgÄr frÄn ekvationen
Via kvadratkomplettering fÄr du:
Rotutdragning ger:
Slutligen fÄr du: