Undersök om A har en potential och bestäm den


Hej
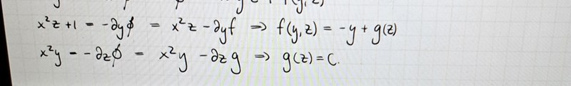
Jag förstår inte vad som händer där man får f(y,z)=-y+g(z) samt raden under. Hur får man fram att integralen av f map y blir -y+g(z) på den andra bilden?
Man matchar uttrycken mot varandra för att se vad som saknas när man pusslar ihop de här.
Om f'_y(y, z) = - 1 så är alla möjliga primitiver -y + g(z). I sista raden finns inget att matcha mellan derivatorna, och det är en vanlig funktion av en variabel, så det kan bara skilja en konstant.

Micimacko skrev:Man matchar uttrycken mot varandra för att se vad som saknas när man pusslar ihop de här.
Om f'_y(y, z) = - 1 så är alla möjliga primitiver -y + g(z). I sista raden finns inget att matcha mellan derivatorna, och det är en vanlig funktion av en variabel, så det kan bara skilja en konstant.
Fast jag förstår inte vad man matchar mot riktigt? Om man har att VL=x^2z och HL x^2z så har vi 1 på VL och -dfy(y,z)? Ska man integrera map på y ? Vad hände med x^2z termen ?
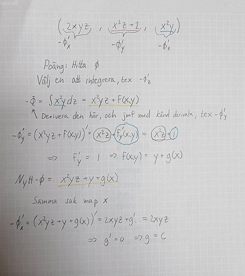
Jag tycker inte riktigt din bild tar med alla steg. Jag hade mer gjort något såhär, nu började jag med z istället, men det spelar ingen roll.

Micimacko skrev:Jag tycker inte riktigt din bild tar med alla steg. Jag hade mer gjort något såhär, nu började jag med z istället, men det spelar ingen roll.
du glömde minustecken där du skriver -phiz' osv
Då kan du sätta dit det 🙃