1
svar
45
visningar
karisma behöver inte mer hjälp
Undersök skärningspunkten
Hej!
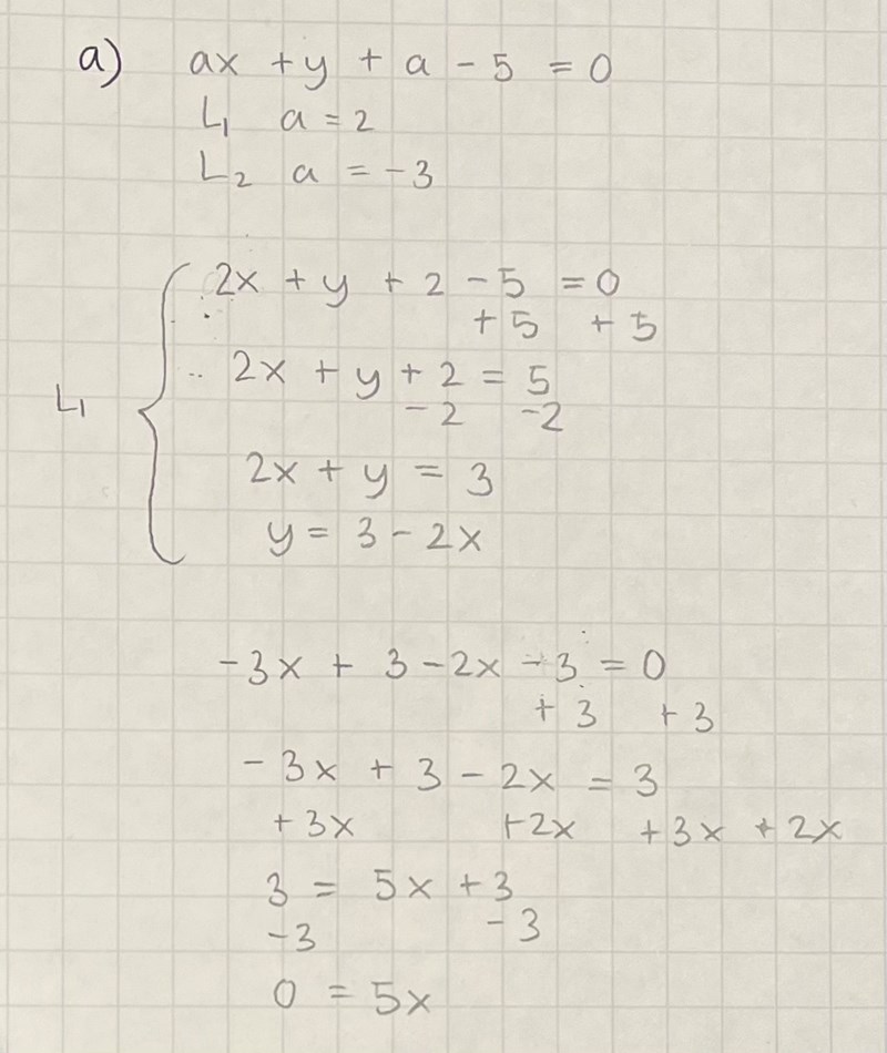
Jag håller på att lösa denna uppgift som du kan se nedan. Nedan kan du även se hur jag har börjat lösa uppgiften. Jag förstår inte riktigt vad jag ska göra för att lösa den korrekt. Varför får jag att x = 0…?
Jag uppskattar all hjälp! Tack på förhand!


Vad är det du gör på de nedersta raderna?
Så här skulle jag göra
Lös ut y, d v s skriv ekvationen på formen y = kx+m. (m är lite krångligt)
Rita linjer när y = 0,1, 2, 3, -1, -2, -3.
Då kan man se ett mönster, d v s var alla linjer korsar varandra.
Sedan skulle jag sätta in ett visst x- och y-värde i ursprungsekvationen och förenkla.