Undersumma och översumma
Hej!
Har fastnat i den här uppgiften och försökte lösa den i flera timmar nu😢
Uppgift:

Min lösning:

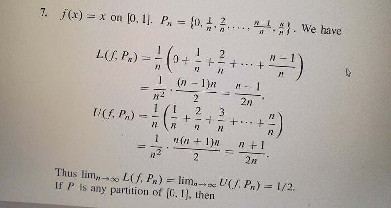
Facit:

Jag gjorde inte som facit. Hängde inte med hur facit fick allt som är i prantesen till (n-1)n/2 .
Jag har varken tittat på din lösning eller facit.
Vi ska dela intervallet från 0 till 1 i n delintervall. För att slippa skriva index kallar jag punkterna
x0, x1, x2, …, x(n–1), xn där x0 = 0 och xn = 1.
Översumman blir [f(x1)+f(x2)+…+f(xn)) *1/n = [1/n+2/n+…n/n]*1/n =
[1+2+3+…+n]*1/n^2
Undersumman blir [f(x0)+f(x1)+ …+f(x(n–1))]* 1/n = (på samma sätt) =
[0+1+2+…+(n–1)]*1/n^2
Vi ser att över minus undersumma är n*1/n^2 = 1/n som går mot noll när n går mot oändligheten.
I facit har de utfört beräkningarna 1+2+…+n och 0+1+…+(n–1). Vad det skulle vara bra för vet jag inte men det finns troligen ett skäl. Om man är osäker på det kan man slå på aritmetisk series summa.
Hur blev (1/n +2/n.....) till [1+2+3 ......] ??
Jag bröt ut n ur nämnarna och fick 1/n^2 utanför parentesen i stället för 1/n
Tack 🙏!