Undersumma, rätt svar, fel lösning?
Hej! Jag försöker lösa denna uppgift från en gammal tenta. Facit har gjort på ett lite annat sätt än jag men vi kommer fram till samma svar. Har jag gjort fel och bara råkat kommit fram till rätt svar eller kan man göra så som jag gjorde också?
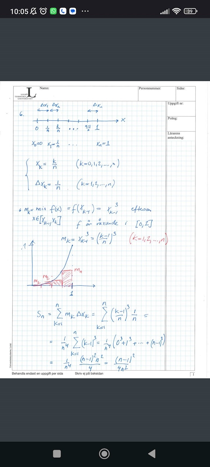
Så här lider frågan:

Här är facit:


Hör är min lösning:

Tack på förhand!
Hej, du har beräknat en översumma istället för en undersumma. I varje delintervall xk-1 till xk approximerar du funktionsvärdet till f(xk), vilket är det största värdet i intervallet och därmed blir det en översumma. Notera att detta gäller om f är växande, hade f varit avtagande hade f(xk) givit dig det minsta värdet i intervallet och f(xk-1) hade givit dig det största.
Det är ändå värt att se att både undersumman (som facit räknade med) och översumma (som du räknade med) faktiskt ger samma svar. Dessa summor är tänkt att begränsa integralens riktiga värde, dvs det riktiga värdet ligger någonstans mellan undersumman och översumman. Då vi låter indelningens finhet (n) gå mot oändligheten blir summorna mer och mer likt den verkliga kurvan och således konvergerar de mot samma tal, vilket är svaret.
Ahh okej då förstår jag tack så mycket!!