0
svar
110
visningar
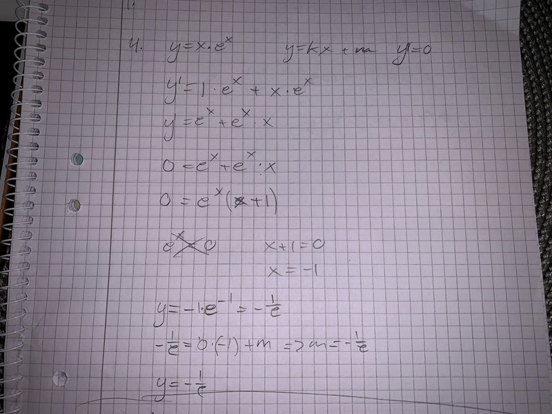
Undrar bara om jag gjort rätt på dessa två korta uppg.
Undrar bara 4:an och 6:an, om jag gjort rätt (bilder nedan på frågor och mina lösningar). Tack i förväg



Gör en tråd för varje fråga - det står i Pluggakutens regler. Jag låser den här tråden. /Smaragdalena, moderator