Unity power factor?
Hej! Jag försöker lösa en uppgift men kommer inte ihåg att vi gått igenom om unity power factor på föreläsningarna så är osäker på hur jag ska tänka:( JAg har försökt googla runt lite och som jag förstått det så har man en effektfaktor på 1 då vågen för spänningen är i fas med vågen för strömmen? vet dpck inte hur det ska hjälpa. detta är frågan jag försöker lösa:

Tack på förhand!
Hej!
Du har rätt. "unity power factor " menas att fasskillnaden mellan strömmen och spänningen är 0. Det hälper dig eftersom om du ställer upp ett uttryck för vilken fasfacor strömmen får, och sätter den = 0, så har du ett villkor för kondensatorns värde.
kommer du vidare?
JohanF skrev:Hej!
Du har rätt. "unity power factor " menas att fasskillnaden mellan strömmen och spänningen är 0. Det hälper dig eftersom om du ställer upp ett uttryck för vilken fasfacor strömmen får, och sätter den = 0, så har du ett villkor för kondensatorns värde.
kommer du vidare?
Ah okej tack! Jag kommer bara fram till detta uttryck men sedan kör jag snabbt fast igen:( vet inte riktigt hur jag ska skriva uttrycket för strömmen.

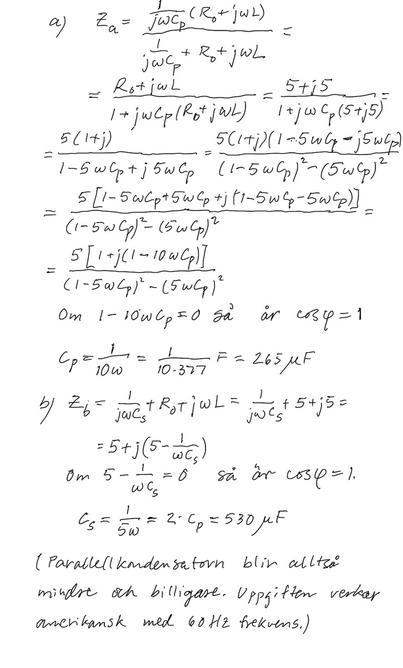
Eftersom uppgiftern inte efterfrågar någon uträkning av effekt, så räcker det att titta på vilken fasvridning impedansen har (eftersom impedansen är förhållandet mellan spänningen och strömmen).
Vi kan börja med b eftersom den är lite enklare. Seriekoppling av impedanserna ger:
För att inte ska fasvrida strömmen så får inte ha någon reaktiv del, dvs
Kommer du vidare?
