Universum

Förutsätter de att man vet vad universum är? I liknande uppgifter brukar man ge vilket universum man ska hålla sig till för att kunna använda lagarna för att lösa uppgiften.
Eftersom att de inte sagt någonting om det så tror jag att de objekt som finns i de olika delmängderna är de enda som är relevanta för uppgiften. Så "3" är någonting fullkomligt okänt för den här uppgiftens syften, t.ex.
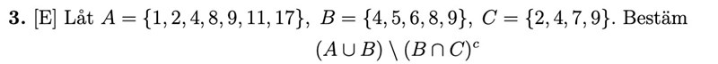
(AUB)={1,2,4,5,6,8,9,11,17}
(B∩C)={4,9}
Men vad är då (B∩C)^c ?
I facit står det att svaret ska bli {4,9}, vilket ju är det (B∩C) är...
Bilda universum genom att se alla objekt som finns i den här uppgiften.
Det borde vara A u B u C
(B∩C)^c borde då vara allt i universum utom B∩C.
Bedinsis skrev:Eftersom att de inte sagt någonting om det så tror jag att de objekt som finns i de olika delmängderna är de enda som är relevanta för uppgiften. Så "3" är någonting fullkomligt okänt för den här uppgiftens syften, t.ex.
Jahaa, okej. Jag får nu rätt svar när jag tänker så. Tack!