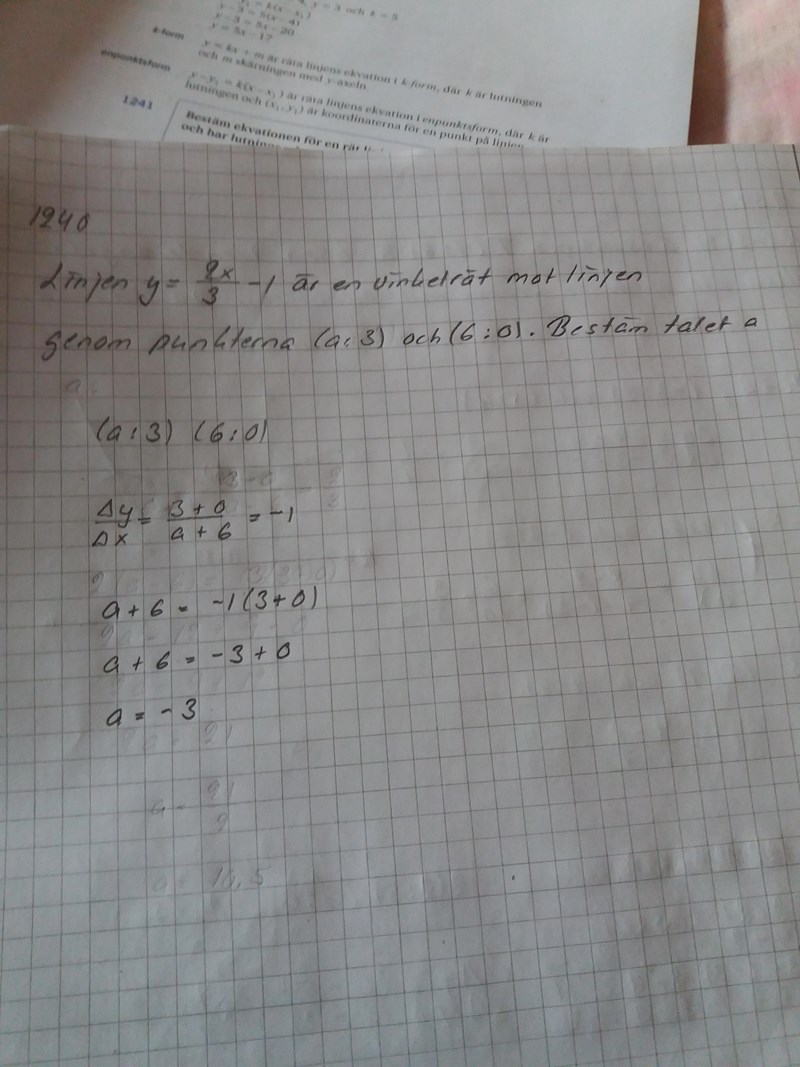
Uppgift 1240 bestäm a


Kommer inte på, hur jag ska lösa uppgiften. Skickar bild från andra telefonen med bättre kamera. Det är svårare kunna skriva från den här.
Är bilden bättre nu?
Bilden är bra.
Beräkningen av deltax och deltay är felaktig.
Päivi skrev :
Kommer inte på, hur jag ska lösa uppgiften. Skickar bild från andra telefonen med bättre kamera. Det är svårare kunna skriva från den här.
Ja bilden är bättre nu.
Det ser ut som om du har slarvat med differenskvoten för lutningen. Ser du vad du har gjort för fel?
Och varför sätter du den till -1?
Och vad är det egentligen som ska vara-1?
Som svar på din fråga hur du ska räkna:
Bestäm lutningen och för de båda linjerna.
Den ena lutningen känner du till, den andra beror på a.
För att linjerna ska vara vinkelräta gäller att .
- (a:3)(6:0)
delta y:(3-0)
delta x:(a+6)
använder k= 2/3
2(a+ 6)= 3(3+0)
2a+ 12= 9+ 0
2a= 9- 12
2a= -3
detta stämmer inte.
Päivi skrev :
- (a:3)(6:0)
delta y:(3-0)
delta x:(a+6)
använder k= 2/3
2(a+ 6)= 3(3+0)
2a+ 12= 9+ 0
2a= 9- 12
2a= -3
detta stämmer inte.
Titta noga på vad du skriver. Du har fortfarande räknat fel på ändringskvoten.
Och du har inte ställt upp ekvationen jag pekade ut korrekt heller.
Använder jag fel k värdet då?
jag vet inte. Nu får du hjälpa, vad du menar, Yngve.
Päivi skrev :Använder jag fel k värdet då?
jag vet inte. Nu får du hjälpa, vad du menar, Yngve.
Du svarade redan en minut efter min kommentar. Jag tror inte att du på den tiden hann titta igenom dina uträkningar ordentligt Päivi.
När du kommer fram till något du tror inte stämmer så ska du i första hand gå tillbaka och kontrollera dina egna tankegångar och dina egna uträkningar åtminstone ett par gånger innan du frågar oss vad som är fel. Det är bra om du vänjer dig vid att göra det eftersom vi inte kommer att finnas tillhands när du skriver proven sedan. I detta fallet har du gjort ett enkelt slarvfel som du själv lätt borde kunna upptäcka om du bara gick igenom dina uträkningar steg för steg.
---------
Men okej då, jag pekar väl ut felet/felen:
Första felet:
Ändringskvoten är (delta y)/(delta x).
Punkterna är (a, 3) och (6, 0).
Delta y är alltså 3 - 0.
Delta x är alltså a - 6. Du har skrivit a + 6.
Andra felet:
Sambandet ska vara , men du har skrivit ett annat samband.
Jag fick a till 10,5 men det är också fel.
Päivi skrev :Jag fick a till 10,5 men det är också fel.
Har du läst och förstått mina tips? Fråga annars.
Har du kontrollerat dina tankegångar och uträkningar? Gör annars det.
Om du ändå inte får rätt svar så kan du redovisa dina tankegångar och uträkningar här så hjälper vi dig att hitta var det går snett.
Jag har provat flera olika sätt och stort sett lämnat uppgiften.
Jag har raderat bort alla möjliga tänkbara sätt. Tänkte vänta med uppgiften till tisdag. Kan fråga hjälp då av andra.
Hej Päivi,
Så här löser jag uppgiften.
Linjen har lutningen .
Linjen mellan och har lutningen
Linjerna är vinkelräta mot varandra när . Det ger ekvationen:
Nu förstår jag. Kom inte ens på tanken göra så. Tack du Guggle för detta.
Päivi skrev :Nu förstår jag. Kom inte ens på tanken göra så. Tack du Guggle för detta.
Då har du alltså inte läst det här svaret som jag skrev för 2 timmar sedan. Där beskrev jag nämligen precis hur du skulle göra.
Varför läser du inte mina svar Päivi? Det känns väldigt tråkigt.
Yngve!
Inte kom jag på tanken ens. Visst vet jag att k1* K2 = -1
var inte alls de tanke banorna. Att du skrev så kopplade jag ändå ihop det. Jag läser allt vad du Yngve skriver. Sedan är saken en annan om jag har uppfattat grejen rätt. Deg var bara så att nu var jag inte de tankarna ens.
Päivi skrev :Yngve!
Inte kom jag på tanken ens. Visst vet jag att k1* K2 = -1
var inte alls de tanke banorna. Att du skrev så kopplade jag ändå ihop det. Jag läser allt vad du Yngve skriver. Sedan är saken en annan om jag har uppfattat grejen rätt. Deg var bara så att nu var jag inte de tankarna ens.
Så om du inte förstår/inte kopplar vad jag skriver så ignorerar du det alltså bara? Det känns inte så mycket bättre ska jag säga.
Jag har massor av gånger bett dig att fråga om vi skriver något du inte förstår. Det känns väldigt meningslöst att överhuvud taget svara om du inte är uppmärksam på vad vi skriver.
Jag skriver inte så mycket och inte så långt, men du fick två snabba svar. Ser du att jag försökte knuffa dig i riktning mot Guggles lösning?
Sedan fick jag ingen respons, så jag tröttnade helt enkelt och slutade skriva.
Jag var nog tillräckligt trött. Jag somnade efter det här. Vaknar jag upp klockan 04:00 och börjar syssla med matten, kan hända att jag sover lite senare. Jag läser allt vad ni skriver. Har just vaknat upp, när det är lägg dags redan. Är jag trött orkar jag inte tänka.