Här skulle jag lösa b-uppgiften grafiskt. Pricka in punkterna A och C. Dra en linje mellan de båda punkterna. Ritain linjen x = 5. Läs av var linjerna korsar varandra. Om det behövs, räkna ut ekvationenför linjen genom A och C, sätt in x = 5 i formeln för att få ett exakt y-värde.
Då gör vi ett försök Magdalena!
Det gick inte riktigt göra så Magdalena!
Tar kort.
Jag har k-värdet 1
a ) linjens ekvation y=x+2 (första linjen)
den andra y= -x+ 10, när man gör detta grafiskt.
Vad jag inte kunde lösa ut, det var via
y=kx+ m
svaret skall vara y = -4
får inte bli så.
Hej Päivi,
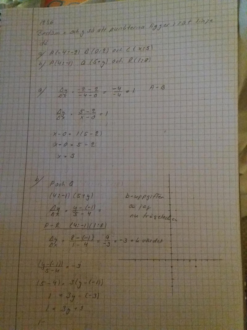
I din egen lösning till b-uppgiften kom du fram till ekvationen
Jag hoppas att du inte har suddat ut den, för det var helt rätt!
Men sedan slarvar du. Multiplicera båda sidor med (5-4) så får du
Tusen tack Guggle!
Nu är det löst.
Ett halvdussin tramsinlägg raderade.
