2
svar
84
visningar
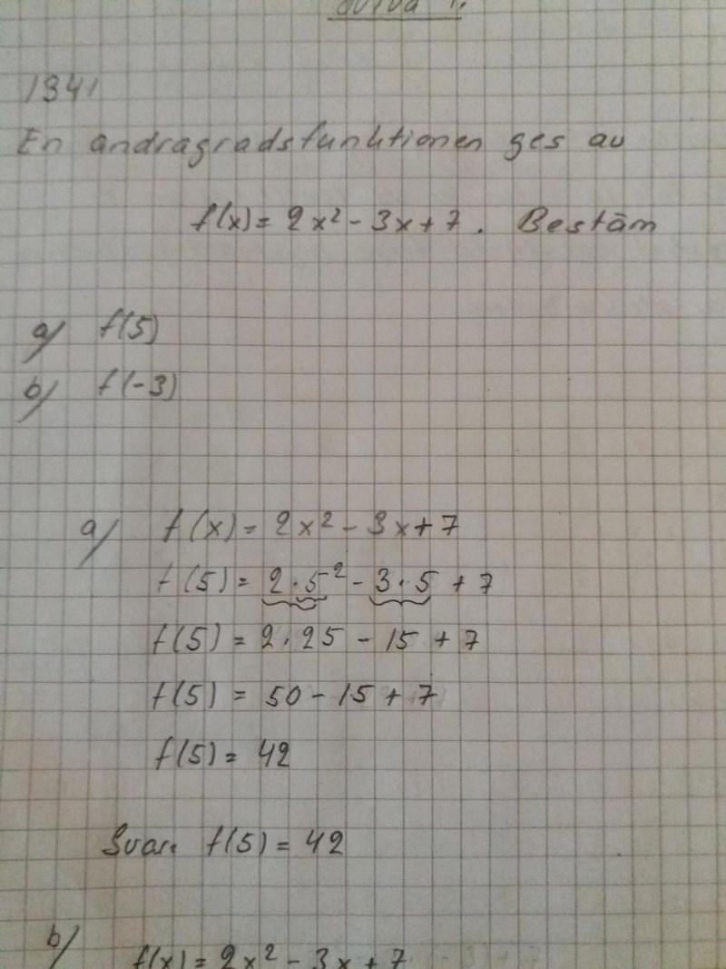
Uppgift 1341 a kontrollera kommentera

Hej
Bra, det är korrekt.
Tack för det!
En gratistjänst från Mattecentrum

Hej
Bra, det är korrekt.
Tack för det!