Uppgift 17 nationella prov matematik 2a vt 2014
Hej! Jag har fösökt lösa uppgift 17 men vet inte hur jag ska få fram att x=3/2. Hur ska jag tänka? // Alice
Du har fyra termer som är lika stora. Om vi hade ekvationen , skulle vi kunna skriva om vänsterledet som , och vi kan göra ungefär samma sak i detta fall. . Vi kan därför skriva om ekvationen till . Vad kan vi göra nu? :)
Smutstvätt skrev:Du har fyra termer som är lika stora. Om vi hade ekvationen , skulle vi kunna skriva om vänsterledet som , och vi kan göra ungefär samma sak i detta fall.
Vi kan därför skriva om ekvationen till. Vad kan vi göra nu? :)
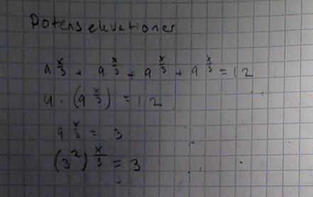
Hej, tack för svar! Din uträkning har jag själv förstått och räknat ut i bilden jag bifogade. Jag vet inte hur jag ska tänka efter jag räknat ut 9x/3 =3. Hur får jag fram att x=3/2?
Om vi har en ekvation på formen , kan vi dra slutsatsen att . Går det att skriva om vänsterledet av ekvationen, så att vi får en ekvation på formen ? :)
Smutstvätt skrev:Om vi har en ekvation på formen , kan vi dra slutsatsen att . Går det att skriva om vänsterledet av ekvationen, så att vi får en ekvation på formen ? :)
Menar du att man ska tänka att 9x/3 =31? Och sen faktorisera så att 3 . (31/3)=31 eller är jag helt ute och cyklar? :/ Eftersom jag har svårt för uppgifter som denna, ska jag fokusera på att repetera kapitlet om potenser?
Skriv om 9 som 32.
Smaragdalena skrev:Skriv om 9 som 32.

På detta vis? Jag vet att man kan logaritmera men jag lär mig gärna fler sätt.
Eller kan jag tänka att det är känt att 91/2=3 eftersom och därför sätta x/3=1/2 och multiplicera nämnaren 3 med bråket 1/2 och på det sättet få fram att x=2/3
Smaragdalena skrev:Skriv om 9 som 32.
Eller kan jag tänka att det är känt att 91/2=3 eftersom 9‾√=39=3 och därför sätta x/3=1/2 och multiplicera nämnaren 3 med bråket 1/2 och på det sättet få fram att x=2/3
Alicematte skrev:Smaragdalena skrev:Skriv om 9 som 32.
På detta vis? Jag vet att man kan logaritmera men jag lär mig gärna fler sätt.
Helt rätt! Nu kan du använda dig av att , och skriva om ekvationen till .
Eftersom , kan du nu jämföra exponenterna. Vad måste x vara för att båda led ska ha samma exponent? :)