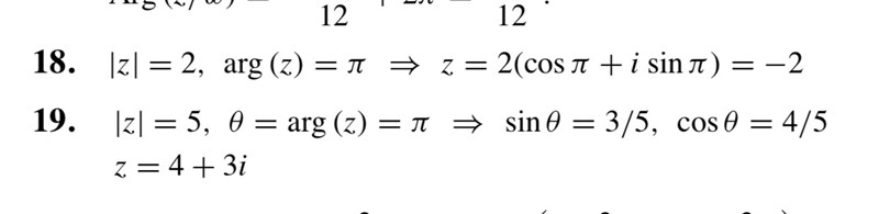
Uppgift 19: Komplexa tal på rektangulär form
Varför har facit skrivit att arg(x) = pi ? Och varför har man skrivit att sin = 3/5 , cosx= 4/5 ? Hur tänkte facit? Jag tänkte bara att i och med att det står tan^(-1)(3/4) så innebär detta att reela delen är 4 och den imaginära delen 3 om man tänker på tan(v) = reella delen / imaginära delen. Är det rätt tänkt av mig ? 
Rubrik ändrad från "Uppgift 19" till nuvarande. En beskrivande rubrik underlättar för de som svarar, och hjälper till att skilja trådar från varandra. Läs gärna mer om rubriksättning här. /Smutstvätt, moderator
arg(z) fås ju av atan(b/a), om z=a+bi så kan du direkt läsa av vad b och a är, i detta fallet borde z=4+3i.
Angående hur facit tänkt, atan(b/a) är inte så trevlig oftast när vi får oschysst kvoter som inte ger en snäll vinkel. Man kan därför dela sin(b)/abs(z) och samma med cos(a) för att hitta vinkeln. Vilken vinkel du tar spelar ingen roll, välj den enklaste helt enkelt och så kör man på.
Tack för svaren! Förstår dock fortfarande inte hur facit har tänkt…
Det ser ut som om facit blandar ihop uppgift 18, där argumentet är pi, med uppgift 19, där argumentet inte är pi.
Smaragdalena skrev:Det ser ut som om facit blandar ihop uppgift 18, där argumentet är pi, med uppgift 19, där argumentet inte är pi.
Ja, för om så bör det resultera i ett reellt tal också.
Alternativt så ritar du en rätvinklig triangel med kateter med längd på motstående och på närliggande till vinkeln. Vad är hypotenusans längd?
Sen kan du lätt skriva ner och . Till sist kommer du ihåg att . Då bör du helt enkelt få .