6 svar
86 visningar

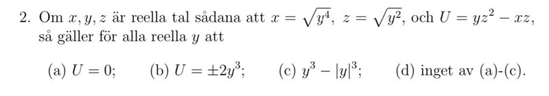
Uppgift 2 matematikprov 2011

Mina tankar:x=y2 z= y U=yz2-xz=yy2-y2y=y3-y3=0Rätt svar är c) y3-y3

Har jag missat något? Tack på förhand

Affe Jkpg 6630
Postad: 18 mar 2020 12:59 Redigerad: 18 mar 2020 13:00

Vad ska man tänka på när man kan kvadrera negativa tal?

Smaragdalena 78892 – Avstängd
Postad: 18 mar 2020 13:01

Om y är ett negativt tal så är z = -y.

Skaft 2363 – F.d. Moderator
Postad: 18 mar 2020 13:04 Redigerad: 18 mar 2020 13:05

Du har satt z=yz = y, men det behöver inte vara sant. Definitionen z=y2z = \sqrt{y^2} gör att z måste vara ett positivt tal (eller noll), eftersom roten ur alltid ger ett icke-negativt tal tillbaka. Men yy kan ändå vara negativt (y2y^2 och y4y^4 blir ju positiva oavsett, så informationen om tecknet på y raderas när vi höjer till nåt jämnt).

Så antingen är z=yz=y (om y är positivt) eller så är z=-yz = -y (om y är negativt). Dvs, z=|y|z = |y|.

Tack Skaft, Smaragdalena och Affe. Då vet jag, z=y eftersom roten ur ett positivt reellt tal alltid blir ett positivt rellt tal!

AlvinB 4014
Postad: 18 mar 2020 14:44 Redigerad: 18 mar 2020 14:44

Ska man vara petig är ju inget av svaren rätt eftersom det står fel i frågan! "y3-|y|3y^3-|y|^3" är ju inget påstående.

Troligen är det tänkt att det ska stå U=y3-|y|3\color{red}U=\color{black}y^3-|y|^3.

Det har du fullkomligt rätt i AlvinB

Svara
Close