16 svar
207 visningar
Dualitetsförhållandet behöver inte mer hjälp

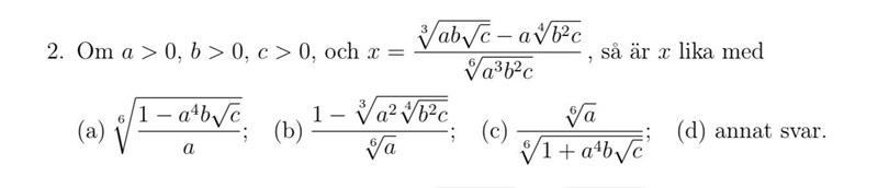
Uppgift 2 matteprov 2012

Den här uppgiften har jag ingen aning om hur man löser. Någon som vet hur man löser den? Tack på förhand

Skaft 2363 – F.d. Moderator
Postad: 11 mar 2020 09:27

Den n:te roten ur ett tal är samma sak som höja talet till 1/n. Byter man ut rottecknen på det sättet kan man omvandla uttrycket med potenslagar.

Eftersom två av alternativen har sjätteroten ur a som nämnare, hade jag försökt omvandla uttrycket så att nämnaren blir just sjätteroten ur a, och sen se om täljaren matchar nåt av alternativen.

Ok, är den här omskrivningen av den här delen av uttrycket korrekt?

 abc 3 = a1/3b1/3c1/4

Jroth 1191 – Fd. Medlem
Postad: 11 mar 2020 09:50 Redigerad: 11 mar 2020 09:50

Nä, c1/6c^{1/6} eftersom 13·12=16\frac{1}{3}\cdot\frac{1}{2}=\frac{1}{6}

 

Edit: Det blir också enklare för dig om du gör om allt till 12:e delar direkt.

Skaft 2363 – F.d. Moderator
Postad: 11 mar 2020 09:51

Inte riktigt! a och b ser bra ut, men skriver man om rötterna runt c har man

(c1/2)1/3(c^{1/2})^{1/3}

Den vanliga roten är "andraroten ur", den har liksom en underförstådd tvåa som inte skrivs ut. Uttrycket ovan motsvarar alltså "tredjeroten ur roten ur c". Hur blir det där om du förenklar med potenslagar?

Dualitetsförhållandet 1287 – Fd. Medlem
Postad: 11 mar 2020 10:32 Redigerad: 11 mar 2020 11:16

Ok, efter min omskrivning av uttrycket så att jag får a1/6 i nämnaren så får jag att x= a1/9 b1/9c1/18 - a1/3b1/6c1/12/a1/6b1/9c1/18

Misstänker att jag gör fel när jag gör om uttrycket eftersom jag inte tar hänsyn till att det är subtraktion i täljaren. Kan jag gå vidare eller är jag ute och cyklar?

Skaft 2363 – F.d. Moderator
Postad: 11 mar 2020 11:09

Var kom alla plustecken ifrån? Och jag menade att nämnaren bara ska vara a6\sqrt[6]{a}, så som det är i svarsalternativen. b och c ska alltså förlängas bort från nämnaren.

Oj, redigerade bort alla plustecken. Nu får jag a6 i nämnaren, men har jag gjort något annat fel?

SvanteR 2783
Postad: 11 mar 2020 11:38

Det sätt du försöker lösa den här uppgiften på är väldigt lärorikt och bra träning, men jag tycker inte att det är den bästa strategin att använda till just det här provet. Du kommer inte att ha tid att göra den här typen av fullständiga lösningar när du väl sitter där!

Kom ihåg att det är ett flervalsprov. Du ska bara ange rätt alternativ. Då behöver du snabba strategier för att välja rätt. Ett sätt som kan funka bra är att välja värden på a, b och c, sätta in dem och se vad som händer. Man väljer värden som är maximalt lätta att räkna med.

Kolla vad som händer om man sätter a=1, b=1 och c=1:

Man får snabbt x=1-11=0

(a) och (b) blir också 0, men (c) blir 126

Då kan man snabbt utesluta (c). Kolla sedan vad som händer om man sätter a=2, b=1 och c=1...

Jag lovar att denna metod går snabbare än den du försöker med nu, och du behöver snabba metoder när du ska göra provet!

Skaft 2363 – F.d. Moderator
Postad: 11 mar 2020 11:44

Svantes tips är toppen, jag håller helt med. Det gäller att vara pragmatisk när det är prov och tidspress. Men vill du ändå djupdyka lite och träna på omvandlingarna så kan du läsa vidare!

Nu får jag a6\sqrt[6]{a} i nämnaren, men har jag gjort något annat fel?

Ja, det ser ut som att du ändrar i alla exponenter, men de är inte hopkopplade på det sättet. Uttrycket man börjar med, omskrivet till potensform, är alltså

a1/3b1/3c1/6-ab1/2c1/4a1/2b1/3c1/6\dfrac{a^{1/3}b^{1/3}c^{1/6} - ab^{1/2}c^{1/4}}{a^{1/2}b^{1/3}c^{1/6}}

Det här är ett bråk, och bråk omvandlas genom att förlänga eller förkorta. Multiplicerar man (eller dividerar) både täljare och nämnare med samma tal, behåller bråket sitt värde. Så nu kan man tänka, vad ska bråket förlängas med så att nämnarens a1/2a^{1/2} blir a1/6a^{1/6}? Dvs, vad ska vi multiplicera med? Det kan man t.ex. lösa genom en separat ekvation:

a1/2·x=a1/6    x=a-1/3a^{1/2} \cdot x = a^{1/6} \quad \Leftrightarrow \quad x = a^{-1/3}

(Nu gav jag dig svaret bara, se till att du kan lösa den själv!)

Okej, så vi ska multiplicera både täljare och nämnare med a-1/3a^{-1/3}. Då gör vi det:

a-1/3(a1/3b1/3c1/6-ab1/2c1/4)a1/6b1/3c1/6\dfrac{a^{-1/3}(a^{1/3}b^{1/3}c^{1/6} - ab^{1/2}c^{1/4})}{a^{1/6}b^{1/3}c^{1/6}}

Här ändrade jag i nämnaren direkt, för hela poängen med förlängningen var ju att få faktorn a1/6a^{1/6} i nämnaren. Nu har vi den där, men vad blir det i täljaren?

Tack Svante, väldigt smart!

Skaft skrev:

Svantes tips är toppen, jag håller helt med. Det gäller att vara pragmatisk när det är prov och tidspress. Men vill du ändå djupdyka lite och träna på omvandlingarna så kan du läsa vidare!

Nu får jag a6\sqrt[6]{a} i nämnaren, men har jag gjort något annat fel?

Ja, det ser ut som att du ändrar i alla exponenter, men de är inte hopkopplade på det sättet. Uttrycket man börjar med, omskrivet till potensform, är alltså

a1/3b1/3c1/6-ab1/2c1/4a1/2b1/3c1/6\dfrac{a^{1/3}b^{1/3}c^{1/6} - ab^{1/2}c^{1/4}}{a^{1/2}b^{1/3}c^{1/6}}

Det här är ett bråk, och bråk omvandlas genom att förlänga eller förkorta. Multiplicerar man (eller dividerar) både täljare och nämnare med samma tal, behåller bråket sitt värde. Så nu kan man tänka, vad ska bråket förlängas med så att nämnarens a1/2a^{1/2} blir a1/6a^{1/6}? Dvs, vad ska vi multiplicera med? Det kan man t.ex. lösa genom en separat ekvation:

a1/2·x=a1/6    x=a-1/3a^{1/2} \cdot x = a^{1/6} \quad \Leftrightarrow \quad x = a^{-1/3}

(Nu gav jag dig svaret bara, se till att du kan lösa den själv!)

Okej, så vi ska multiplicera både täljare och nämnare med a-1/3a^{-1/3}. Då gör vi det:

a-1/3(a1/3b1/3c1/6-ab1/2c1/4)a1/6b1/3c1/6\dfrac{a^{-1/3}(a^{1/3}b^{1/3}c^{1/6} - ab^{1/2}c^{1/4})}{a^{1/6}b^{1/3}c^{1/6}}

Här ändrade jag i nämnaren direkt, för hela poängen med förlängningen var ju att få faktorn a1/6a^{1/6} i nämnaren. Nu har vi den där, men vad blir det i täljaren?

Jaha så kan man förlänga bråket så man får a1/6. I täljaren blir det b1/3c1/6-a2/3b1/2c1/4

Inser lätt då att svarsalternativ b är rätt. Tack så mycket för hjälpen allihopa!

SvanteR 2783
Postad: 11 mar 2020 12:29

Tja, man ser i alla fall att b inte kan uteslutas. Då vet man att svaret måste vara b eller d. Sedan är det lite av en chansning att svara b, men det är en rimlig chansning om man har ont om tid. Har man gott om tid kan man jobba vidare, antingen genom att prova andra värden eller genom att räkna.

Ett sätt när man har kommit så här långt är att se om man kan börja med (b) och komma till x genom att förlänga. Men det gör man bara om man har gott om tid!

Laguna Online 32073
Postad: 11 mar 2020 12:56

Hur mycket tid har man?

3h för 31 frågor

Smaragdalena 78892 – Avstängd
Postad: 12 mar 2020 17:22
Dualitetsförhållandet skrev:

Oj, redigerade bort alla plustecken. Nu får jag a6 i nämnaren, men har jag gjort något annat fel?

Dualitetsförhållandet, det står i Pluggakutens regler att man inte får ändra i ett inlägg som har blivit besvat. Nu går det inte att förstå vad det är Skaft syftar på om alla plustecknen, pchj då blir den hät tråden ganska oanvändbar, om någon har samma fråga som du. /moderator

Svara
Close