Derivata
Jag förstår inte riktigt hur man skriver upp frågan eller hur man löser när man inte ha några tal. 
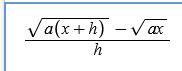
Jag skrev upp den såhär, är jag på rätt spår?
Bra, nu lös gränsvärdet då h går mot 0.
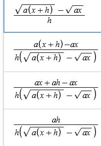
Ungefär såhär? det är denna delen jag inte riktigt förstår

LinusJohansson123 skrev:Ungefär såhär? det är denna delen jag inte riktigt förstår
Vad gör du mellan första och andra raden?
Förlänger med konjugatet
Då borde det vara ett plus mellan termerna i nämnaren, inte minus.
LinusJohansson123 skrev:Förlänger med konjugatet
Konjugatet är för täljaren är väl ändå (sqrt(a(x+h)) + sqrt(ax)) eller hur?
Det borde det, tack! Men förstår fortfarande inte riktigt hur jag fortsätter efteråt
Visa vad hur har kommit fram till nu när du har förlängt med konjugatet korrekt.
sqrt(a(x+h)) = sqrt(ax+ah), du kan inte skriva dem i separata rötter. Du kan dessutom förkorta bråket med h eftersom du har en faktor h i täljaren och nämnaren.
Något sånt?
LinusJohansson123 skrev:Något sånt?
Testa igen. Du har fortfarande inte skrivit det korrekt.
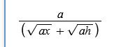
är detta korrekt? Annars förstår jag inte riktigt hur jag ska göra
Tack för hjälpen förstår mera nu!
Om du nu testar att h går mot 0, vad får du då?
precis facit, tack för hjälpen


