1
svar
199
visningar
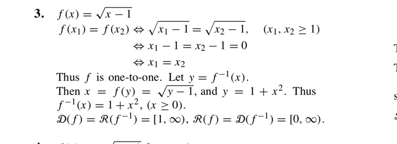
Uppgift 3 defi
Hej! Jag vet hur man löser uppgift 3 men jag undrar bara hur facit tänker då de fick D(f^-1)=[0, oändligheten) jag fick D(f^-1) till alla reella tal. D står för domain dvs 
jag undrar även varför 1 + x^2 har en definitionsmängd på att x måste vara större eller lika med 0. 
Vilken värdemängd har ? :)
Lägg den andra frågan i en egen tråd, så blir det mindre rörigt. /moderator