Uppgift 3147 (Bestäm största arean)

Jag fastnar och vet inte hur jag ska komma vidare . Jag har försökt att derivera funktionen och därefter sätta derivatan lika med 0… Sen använder jag produktregeln.. Men det blir fel
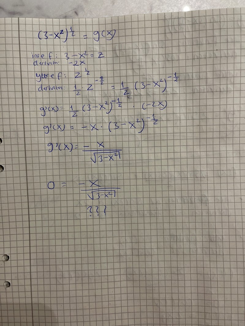
g'(x): du glömmer inre funktionens derivata: g(x) har yttre funktion x^(1/2) och inre 3-x^2 --> -x i täljaren (derivatan av inre funktionen är -2x)
Därför blir A'(x) fel
menar du alltså att jag måste använda kedjeregeln för att beräkna derivatan av den yttre funktionen?
är en sammansatt funktion och du måste därför använda kedjeregeln för att derivera den.
Det blir kanske tydligast om du skriver om funktionen på följande sätt:
Varför är det fel att skriva om g’(x)=1/(2(sqrt3-x^2))
Eftersom du då glömmer den "inre derivatan", dvs derivatan av 3-x2.
Är det rätt nu?
Ja, förutom att du har glömt ett minustecken i exponenten.
Det här är väl rätt?
Ja nu är det rätt.
För att kunna bestämma rektangelns största area så måste jag väl sätta derivatan lika med . Lösa ut x. Jag kommer få två olika värden på x, jag måste derivera derivatan för att få andra derivatan och därefter sätta in de olika x värden som jag får. Om min andra derivata blir mindre än 0 så är det en maxpunkt dvs det x värdet som jag söker
Du behöver inte heller i denna uppgift ta fram andraderivatan.
- Du känner till areafunktionen A(x).
- Bestäm nu derivatafunktionen, dvs A'(x).
- Hitta de x-värden som gör att denna derivatafunktion är lika med 0, dvs lös ekvationen A'(x) = 0.
- Du kommer då att få ett eller flera x-värden.
- Bestäm vad rektangeln har för area för vart och ett av dessa x-värden.
- Dessa värden är dina första kandidater till "största arean".
- Ta även reda på vad rektangeln har för area i x-intervallets ändpunkter.
- Dessa värden är även de kandidater till "största arean".
- Du har nu ett antal kandidater till "största arean".
- Ditt svar ska sedan vara det största av dessa värden.
Så långt kommer jag? Hur kommer jag vidare?
Areafunktionen är .
Det är denna funktion du vill hitta största värdet på, inte .
Du ska alltså derivera och lösa ekvationen , inte .
Läs mitt senaste svar igen. Långsamt.
Yngve skrev:Du behöver inte heller i denna uppgift ta fram andraderivatan.
- Du känner till areafunktionen A(x).
- Bestäm nu derivatafunktionen, dvs A'(x).
- Hitta de x-värden som gör att denna derivatafunktion är lika med 0, dvs lös ekvationen A'(x) = 0.
- Du kommer då att få ett eller flera x-värden.
- Bestäm vad rektangeln har för area för vart och ett av dessa x-värden.
- Dessa värden är dina första kandidater till "största arean".
- Ta även reda på vad rektangeln har för area i x-intervallets ändpunkter.
- Dessa värden är även de kandidater till "största arean".
- Du har nu ett antal kandidater till "största arean".
- Ditt svar ska sedan vara det största av dessa värden.
Jag tar det om istället.

Hur ska jag derivera det här uttrycket? Måste jag använda produktregeln? Jag vill enbart använda kedjeregeln
Formen på uttrycket är f(x)*g(h(x)) så det blir produktregeln och kedjeregeln
(den andra faktorn behöver man använda kedjeregeln på för att derivera).
Kan man inte lösa den utan produktregeln?
Nej. Men den är inte jobbig.
Du gjorde rätt på produktregeln i #1, det var kedjeregeln du gjorde fel på (jag visade felet och deriverade i #2)