Uppgift 3245 asymptot
Hej. Jag tittade på en youtube video och förstod inte hur den här personen får k värdet att bli noll? 
Katarina149 skrev:
Vilken del av uträkningen är det du har frågor på?
Jag förstår inte hur k värdet blir 0
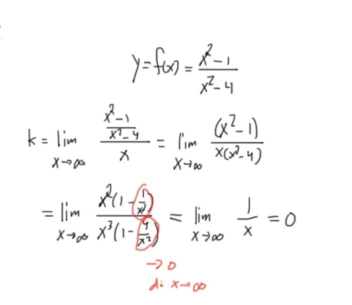
Hänger du möjligen upp dig på att det mellersta likhetstecknet är fel? Det ska vara approximation eller att uttrycket går mot .
Annars kan du i stället se att ursprungsfunktionen går mot 1 när x växer - det räcker ju då är y=1 asymptot och k=0.
Det blev inte riktigt rätt här. Gränsvärdena är ju lika trots att uttrycken inte är det - förlåt!
Men 1/x går mot i täljaren. 4/x^2 går också mot noll i nämnaren x^2-x^3 x
då blir det x^-(1 =1/x)* *1 ska man då anta att detta går mot noll? Jaha då tror jag förstår
Katarina149 skrev:då blir det x^-(1 =1/x)* *1 ska man då anta att detta går mot noll?
Vad menar du med det du skriver här (fetmarkerat)?
x-1 * (1) = 1/x
när limes x-> oändligheten blir1/x =0 dvs k värdet är 0
Ja det stämmer.
Är det då fortfarande något du undrar över?
Jag har räknat fram att ena asymptoten är y=1 andra är x=+-1 och tredje x=+-2 .. Men hur kan jag hitta extrempunkterna ? Jag försökte derivera y mha kvotregeln men det blev krånglig lite. I facit har man gjort en omskrivning
Nu löste jag frågan .