Uppgift 3250 - Tangenter
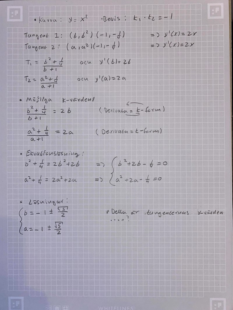
Jag har problem med att förstå hur jag ska komma vidare. Har sett 3 lösningar på nätet (inklusive på pluggakuten) men de var otydliga och orimliga. Jag ska bevisa att 2 tangenter som går genom punkten (-1, -1/4) bildar en rät vinkel. Jag tillskriver variabel a för tangent 2 och b för tangent 1 för att utnyttja k-form.
Jag känner att jag hittills gjort rätt, det känns rätt iallafall. Men hur kommer jag vidare? Varför får jag ut 2 möjliga b-värden och 2 möjliga a-värden? Stoppar jag in dessa i funktionens derivata...är inte säker.
Allt ser rätt ut.
Den ena tangeringspunkten är uppenbatligen (
Va? Kan du utveckla? Jag förstår inte riktigt än, jag uppskattar förresten att du tar din tid för att besvara min fråga
Som du ser ger punkten a och b samma x-värden. Du behöver bara den ena. Eftersom det är en 2:a grads-funktion får du båda punkterna. Nu tar du t ex båda rötterna för t ex a och bildar k1 och k2. Tangenterna kommer att mötas under kurvan.
Ok, jag tror att jag förstår nu. Är det möjligt att man kommer fram till ett scenario där både a och b är annorlunda tal?
Hej,
Det som du skrivit är orimligt; två tangenter till samma kurva som går genom samma punkt kan inte bilda en rät vinkel.
Istället ska du visa att en tangent och en normal till samma kurva som går genom samma punkt bildar en rät vinkel.
Detta betyder att om tangenten har lutningen och normalen har lutningen så är produkten och vice versa; om lutningarnas produkt är lika med så är de två räta linjerna vinkelräta mot varandra.
Inte när man bildar riktningskoefficienten för en tangent på 2 sätt för en x^2 typ funktion mot en punkt. Sen finns det antagligen andra fall. Möjligen varianter med t ex 3-e gradsfunktion. Ditt tal är vanligt i 3c, att tangenterna möts i en punkt.
Tacksam för alla svar! Speciellt rapidos, uppskattar verkligen att du var utförlig med svaren. Angående Albiki, i detta fall är båda linjerna tangenter enligt uppgiften, dock går dessa självklart inte genom samma punkt på kurvan då detta inte hade varit rimligt. Normalen är vad jag vet inte en tangent? Det är väl bara en rät linje som bildar en 90 grader vinkel tillsammans med tangenten i tangeringspunkten......
Resultat i geogebra:

Hej,
Jag tolkar uppgiften på följande sätt.
Räta linjerna och är tangenter till kurvan
- Linjen har tangeringspunkt och lutningen
- Linjen har tangeringspunkt och lutningen
- Båda linjer går genom punkten
De två punkterna och på låter dig skriva följande ekvation för lutningen
De två punkterna och på låter dig skriva följande ekvation för lutningen
Talen och är olika lösningar till andragradsekvationen . Med PQ-formeln får man de två lösningarna
och
.
Om så får man lutningen och då blir med motsvarande lutning Produkten av de två lutningarna ges av Konjugatregeln till
Linjerna och är därför vinkelräta mot varandra.
Yngve skrev:Allt ser rätt ut.
Den ena tangeringspunkten är uppenbatligen (
Det jag försökte skriva var:
Bra jobbat! Allt ser rätt ut.
Du har beräknat x-värdena för de två tangeringspunkterna. Orsaken till att du fåt tvp värzen på a och 2 vörden på b är att du inte har bestänt om a < b eller a > b.
Om du gör det så kan du stryka en av lösningarna från respektive ekvation.