Visa samband med kvadrater
Hej. Vet inte hur jag ska komma vidare. Några förslag? Tack!
Rubrik ändrad från "Uppgift" till nuvarande. En beskrivande rubrik underlättar för de som svarar, och hjälper till att skilja trådar från varandra. Läs gärna mer om rubriksättning här. /Smutstvätt, moderator
sista steget stämmer inte
3cos2 (x) - sin2 (x) är inte samma sak som 3*cos(2x)
Varför inte? I min formelsamling står det att cos^2v-sin^2v=cos2v
Jahaaa 3an tillhör bara cos och inte sin.
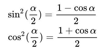
VAd får du om du förenklar kvadrattermerna i VL genom att skriva om med dubbla vinkeln
dvs sin2(x) = (1-cos(2x)/2 och motsvarande för cos?
kan det ge ngt?
Notera att jag inte löst uppgiften, jag bara slänger fram idéer
Jag förstår inte hur du tänkt när du förenklat kvadranetnen med dubbla vinkeln.
Sara.s0 skrev:Jag förstår inte hur du tänkt när du förenklat kvadranetnen med dubbla vinkeln.
du har kommit fram till
sin(x)(3cos2(x)-sin2(x))
Då menar jag att cos2(x) och sin2(x) kan skrivas om med hjälp av formlerna för dubbla vinkeln

oj, personligen gillar jag inte att tänka på dessa uppgifter (:
I denna uppgift blir det lättare om du "fuskar" lite och skriver om både höger och vänsterledet med bara cos (x) och sin (x).
Sedan får du fixa så att högerledet är lika med vänsterledet. För att sedan slutföra beviset måste du göra alla steg vid förenklingen av vänsterledet baklänges. (Blir lättast om du använder cos (2x) = cos^2 (x) - (sin^2 (x))
Förstår om du vill lösa det snyggare men det är ett alternativ om du inte kommer någonstans.
ItzErre skrev:oj, personligen gillar jag inte att tänka på dessa uppgifter (:
I denna uppgift blir det lättare om du "fuskar" lite och skriver om både höger och vänsterledet med bara cos (x) och sin (x).
Sedan får du fixa så att högerledet är lika med vänsterledet. För att sedan slutföra beviset måste du göra alla steg vid förenklingen av vänsterledet baklänges. (Blir lättast om du använder cos (2x) = cos^2 (x) - (sin^2 (x))
Förstår om du vill lösa det snyggare men det är ett alternativ om du inte kommer någonstans.
Nej, det här komplicerar bara saken, fortsätt att utveckla enbart VL som du börjat och använd tipset jag gav i inlägg #7 så blir det efter förenkling tämligen enkelt att komma fram till samma uttryck som i HL