Uppgift 4331 origo ma4
Här nedan ser min ansats till a uppgiften. Det är fel och jag vet inte hur jag ska tänka

Katarina149 skrev:Här nedan ser min ansats till a uppgiften. Det är fel och jag vet inte hur jag ska tänka
Det är ingen idé att räkna vidare och sätta in värden innan du vet om ditt förslag på primitiv funktion är rätt eller inte.
Det första du bör göra när du tagit fram ett förslag på primitiv funktion är att kontrollera om förslaget stämmer.
Integralen är lite knepig att lösa och kräver att man tänker lite annorlunda. Du har fått två bra tips på hur du kan göra.
jag hängde inte med på räknestegen och jag förstod inte hur de tänkte
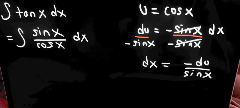
Det här steget förstod jag inte när han substituterar u=cos x och därefter allt det han har skrivit under
Det är en metod för att integrera. Första gången jag stötte på denna metod var på universitet, jag minns inte om våran lärare förklarade varför den metoden fungerar, men jag tror att vi bara "köpte" att man kan göra så.
Men det måste vara någon matematiker som tänkte lite utanför boxen och sedan visade sig att denna metod fungerar :)
Är det rätt uträkning för a frågan ?
Har du kontrollerat om ditt förslag på primitiv funktion stämmer?
- Om ja, visa hur du gjorde och vad du kom fram till.
- Om nej, gör det, visa hur du gjorde och vad du kom fram till.
