Uppgift från Kth antagnings prov
Vet ärligt inte hur man gör, var cirka 1 år sen jag läste matte och lagarna om konstanten e minns jag ej riktigt då den är upphöjd med både konstant och variabler. har testat följande och lite annat i min anteckningsblock men inte kommit nån vart

Har även lyckats få e ^ 1 - (x ^ 4)
Dock ingen aning av hur jag ska derivera följande
Daniel_02 skrev:
Nyttja att f(x) = e^(kx) har derivatan k*e^(kx)
Har du f(x) = e^(2x) så är f'(x) = 2e^(2x)
datav skrev:Daniel_02 skrev:Nyttja att f(x) = e^(kx) har derivatan k*e^(kx)
Har du f(x) = e^(2x) så är f'(x) = 2e^(2x)
Problemet ligger i att de är - och inte * framför konstanten och sen att de multipliceras med en variabel och inte en konstant
Hej.
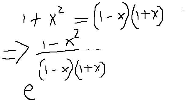
Du bör alltid kontrollera dina faktoriseringar.
I det här fallet: Multiplicera ihop parenteserna igen. Om resultatet blir så var faktoriseringen rätt, annars inte.
==========
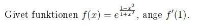
Till din uppgift: är en sammansatt funktion och du ska därför använda kedjeregeln för att derivera den. Du har en yttre funktion som kan skrivas och en inre funktion som kan skrivas .
Kedjeregeln lyder
Du ska alltså derivera med avseende på ("yttre derivatan"), derivera med avseende på ("inre derivatan") och sedan multiplicera dessa två derivator med varandra.
När du ska beräkna den "inre derivatan" så kan du använda kvotregeln.
Yngve skrev:Hej.
Du bör alltid kontrollera dina faktoriseringar.
I det här fallet: Multiplicera ihop parenteserna igen. Om resultatet blir så var faktoriseringen rätt, annars inte.
==========
Till din uppgift: är en sammansatt funktion och du ska därför använda kedjeregeln för att derivera den. Du har en yttre funktion som kan skrivas och en inre funktion som kan skrivas .
Kedjeregeln lyder
Du ska alltså derivera med avseende på ("yttre derivatan"), derivera med avseende på ("inre derivatan") och sedan multiplicera dessa två derivator med varandra.
När du ska beräkna den "inre derivatan" så kan du använda kvotregeln.
Upptäckte att jag fick fel ändå, så här fick jag det till
Utan e hade jag fått rätt svar men med tanke på e är där så vet jag ej hur man gör
Har du läst avsnittet om kedjeregeln som jag länkade till?
Yngve skrev:Har du läst avsnittet om kedjeregeln som jag länkade till?
Jag gjorde det 2 gånger men fann ingenstans varken på den skrivtliga och muntliga genomgången om hur man löste detta. Jag beräkna med kvot regeln på det som e var upphöjt med och fick talet -1 vilket ska va svaret men inte då det blir e^-1 vilket gjorde så jag fick fel ändå.
Satte ju f(x) som 1 - x ^2 och g(x) som 1 + x ^2 men vad som händer med e har jag ingen aning om. känns som det borde va 3 funktioner men kan ingen lag för det
Sätt där f(x) = 1-x2 och g(x) = 1+x2. Enligt kvotregeln är . Vad är f'(x)? Vad är g'(x)? Hur blir det när du har satt in allting i formeln? Visa gärna detta innan du går vidare och förenklar.
Smaragdalena skrev:Sätt där f(x) = 1-x2 och g(x) = 1+x2. Enligt kvotregeln är . Vad är f'(x)? Vad är g'(x)? Hur blir det när du har satt in allting i formeln? Visa gärna detta innan du går vidare och förenklar.
Jag beräkna det men vad händer med e, försvinner den bara ? svaret finns på bilden jag skicka innan. Jag använde mig av den regeln men ser att e har inte tagits till på den alls
Insåg vad felet var, jag deriverade nämnaren vilket inte skulle göras och jag bytte på f(x) och g(x) värden
Blev ändå inte rätt svar får ju samma fel
Vad händer med e igentligen då man deriverar denna funktion, följer den bara med ?
Vi tar ett enklare exempel, t.ex. .
Är du med på att kan skrivas som , där ?
Vi vIll nu derivera med avseende på .
Enligt kedjeregeln så gäller att .
Eftersom ("yttre derivatan") och ("inre derivatan") så får vi att .
============
Pröva nu samma tillvägagångssätt på din funktion.
Den enda skillnaden är att i ditt fall är .