7 svar
125 visningar
Daniel_02 behöver inte mer hjälp
Daniel_02 366 – Fd. Medlem
Postad: 7 feb 2021 09:35 Redigerad: 7 feb 2021 10:22

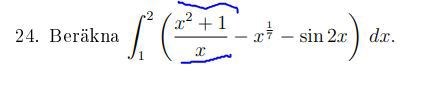
Uppgift från KTH antagnings prov uppgift 24

Hur beräknas en primitiv funktion för ett bråk av två variabler ?

Smutstvätt 23652 – Moderator
Postad: 7 feb 2021 09:38

Förenkla bråkuttrycket! 

x2+1x=x2x+1x=x+1x

Axel72 548
Postad: 7 feb 2021 09:42

(X^2+1)/X= x+ 1/x  kan du fortsätta härifrån 

Daniel_02 366 – Fd. Medlem
Postad: 7 feb 2021 09:50 Redigerad: 7 feb 2021 09:52

Känns som något är fel då det blir x ^0/0

Yngve 42666
Postad: 7 feb 2021 10:14 Redigerad: 7 feb 2021 10:14

En primitiv funktion till 1x\frac{1}{x} är ln(x)\ln(x), där x>0x>0.

Kolla här.

Smaragdalena 78892 – Avstängd
Postad: 7 feb 2021 10:23

Fixade din rubrik så att det inte ser ut som en dubbelpost /moderator

Daniel_02 366 – Fd. Medlem
Postad: 7 feb 2021 10:28
Yngve skrev:

En primitiv funktion till 1x\frac{1}{x} är ln(x)\ln(x), där x>0x>0.

Kolla här.

Denna uppgift är ärligt bara ganska jobbig och funderar om de finns ett snabbare sätt att lösa för jag fastar nu på 2 ^ (8/7))/(8/7)

Laguna 32135
Postad: 7 feb 2021 12:36

Det går att förenkla lite, men inte så mycket.

nånting/(8/7) = 7nånting/8, är du med på det?

Det kanske går att förenkla mer tillsammans med resten av uträkningen.

Svara
Close