4
svar
87
visningar
Daniel_02 behöver inte mer hjälp
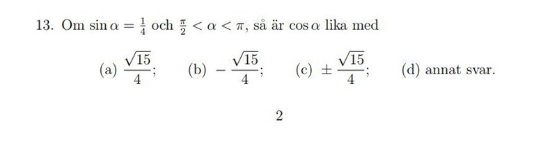
Uppgift kring enhets cirkel

Jag förstår att om intrevallet är i andra sektorn där cos alltid förblir negativ(90-180 grader) men vart /4 kommer ifrån begriper jag inte
Använd trigonometriska ettan.
Trigonometriska ettan!
Lös ut cosinustermen, och använd enhetscirkeln för att hitta rätt tecken. :)
Smutstvätt skrev:Trigonometriska ettan!
Lös ut cosinustermen, och använd enhetscirkeln för att hitta rätt tecken. :)
Tack för hjälpen, jag begriper nu hur : )
Vad bra! :)