uppgift med 2 funktioner
I ett 100-meterslopp springer två löpare, A och B, s m på x s enligt:
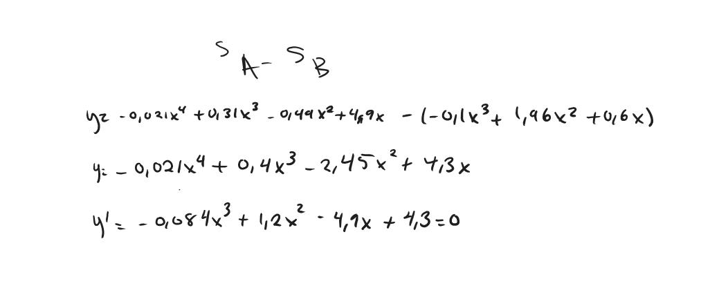
S A = -0.021x^4+0.31x^3-0.49x^2 + 4.9x
S B = -0.1x^3+1.96^2+0.6x
a) Vem är först i mål?
b) När under loppet är avståndet mellan löparna störst
Fattar inte hur jag ska lösa denna
Vill du kontrollera att du skrivit av uttrycken rätt.
T ex B Finns det inte någon x-kvadrat term där ?
Ja missade den, det ska vara så här -0.1x^3+1.96x^2+0.6x
a) Lös ekvationerna SA = 100 och SB = 100. Vilken av dem sprang 100 m på kortast tid?
b) Avståndet mellan löparna är SA-SB. Hur gör man för att ta reda på när något är som störst (eller minst)?
Mitt förslag är att lösa det via grafritande räknare- dvs skriv in funktionerna och ta fram svaret på a)
I b) skriver du in skillnadsfunktionen, vilket också blir en 4-egradare
Smaragdalena skrev:a) Lös ekvationerna SA = 100 och SB = 100. Vilken av dem sprang 100 m på kortast tid?
Hur kan jag lösa de
i SA så får jag -0.021x^4+0.31x^3-0.49x^2 + 4.9x = 100
men jag kommer inte vidare, testade också att ersätta x2 med t men det hjälpte inte
Håller med Henning - använd räknaren.
Smaragdalena skrev:b) Avståndet mellan löparna är SA-SB. Hur gör man för att ta reda på när något är som störst (eller minst)?
Jag får detta men kommer inte vidare

Har du skrivit av uppgiftena rätt? Jag ritade upp kurvorna och det ser ut så här:

Smaragdalena skrev:Har du skrivit av uppgiftena rätt?
Ja, dubbelkollade och uppgifterna stämmer överens med boken
Nu fick jag med korrektionen du hade gjort i #3 och då ser det bättre ut:
.jpg?width=800&upscale=false)
okej, men hur ska jag lösa b?
Du har deriverat. Sätt derivatan lika med 0 och lös ut x. Kolla vilket x-värde som ger största värdet på y. Lös det med räknaren.
Smaragdalena skrev:Du har deriverat. Sätt derivatan lika med 0 och lös ut x. Kolla vilket x-värde som ger största värdet på y. Lös det med räknaren.
Jag har gjort det, men kommer inte vidare efter detta 
Du kan även lösa b-uppgiften grafiskt
Skriv in skillnadsfunktionen i räknaren.
Rita upp grafen och låt räknaren ta fram max resp min för funktionen, vilket ger svaret om tidpunkten för det största extremvärdet
Glöm inte att även kontrollera y-värdet vid då 100 m sprungits , dvs då den snabbaste löparen är i mål
Henning skrev:Du kan även lösa b-uppgiften grafiskt
Skriv in skillnadsfunktionen i räknaren.
Rita upp grafen och låt räknaren ta fram max resp min för funktionen, vilket ger svaret om tidpunkten för det största extremvärdet
jag får 1,6s vilket är fel
Jag får max avvikelse vid tiden 1,22 s
Där är skillnaden mellan löparna 2,29 s