Uppgift nr 16 VT98 Fysik 2
Hej, på b-uppgiften här så förstår jag inte varför man inte kan räkna med formeln: 
Jag vet vad v0 och och med hjälp av den här kan jag få ut v till: 
Sedan för att hitta delta v så tar jag 1000-c, vilket blir 5mm/s
Varför är det fel att tänka så?


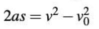
Formeln gäller för en partikel med konstant acceleration. Är det så i det här fallet?
Du menar att accelerationen måste ändras linjärt? I den här frågan kollideras Na med många fotoner under en viss tid. Då borde väl accelerationen minska ungefär linjärt?
Aha, jag läste knappt frågan, ursäkta.
Ja, du kan använda den formeln med v = 1e3 m/s, v0 = 0 m/s och a = 1e6 m/s2, vilket ger s = 0.5 m.
Japp, det var det jag också fick. Men det ger tyvärr inte rätt svar, så förmodligen så kan man inte använda den här formeln, eller så stoppar jag in fel värden.
Vad är c här?
c=v
Det finns här två relevanta hastigheter: hastigheten från början, v0 = 1000 m/s, och hastigheten i vila, v = 0 m/s.
ger samma svar som i facit. (Negativt tecken p.g.a teckenkonvention.)
Tänker du så här? Om det är så du menar, vart försvinner v? Varför räknar vi endat med v0? Vi vet ju redan vad v0 är?

v = 0, eftersom natriumatomen då står stilla.
Varifrån kommer 5•10-6 ?
Oj, nej det borde väl stå 0.5 istället då det är stoppsträckan. Men då får man ju inte rätt svar. Det vi vill ha är ju delta v, men det finns ju inte i den här formeln eftersom det bara finns (v0)^2 och v^2.