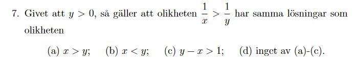
Uppgift som kretsar kring olikheter

Vad gör så att b inte stämmer ? x = 0.25 y = 0.5 för så att 4 > 2 vilket stämmer in där nere då 0.25 <0.5 och detsamma gäller för tillexempel 1 och 2 då 1 > 0.5 och 1<2
Har du testat med ett eller 2 negativa tal?
Det räcker inte att de båda olikheterna har några lösningar som är samma.
Att de båda olikheterna har samma lösningar innebär att alla lösningar till den ena olikheten även ska vara lösningar till den andra olikheten och tvärtom.
Exempel: x = -1 och y = 1 är en lösning till olikheten x < y men inte till 1/x > 1/y.
Yngve skrev:Det räcker inte att de båda olikheterna har några lösningar som är samma.
Att de båda olikheterna har samma lösningar innebär att alla lösningar till den ena olikheten även ska vara lösningar till den andra olikheten och tvärtom.
Exempel: x = -1 och y = 1 är en lösning till olikheten x < y men inte till 1/x > 1/y.
tänkte inte att något negativt tal skulle kunna användas men hade fel, förstår nu varför tack så mycket för hjälpen
Micimacko skrev:Har du testat med ett eller 2 negativa tal?
y måste va större än 0 : )