3
svar
79
visningar
Daniel_02 behöver inte mer hjälp
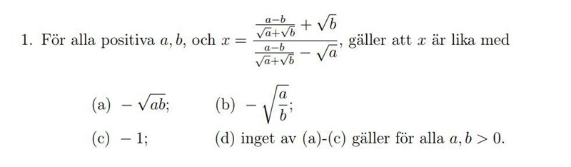
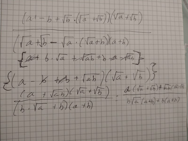
Uppgift som kringår algebra


Jag gjorde såhär och aa fick inget av svaret. Behöver hjälp med hur man gör.
Jag ser inte riktigt vad du gör. Multiplicerar du både täljare och nämnare med ? Det är rätt, men det ser ut att bli fel på vägen.
Jag hänger inte riktigt med på vad du har gjort för att komma till första raden.
Kan du beskriva eller visa beräkningsstegen fram dit?
Börja med att använda konjugatregeln på uttrycket (a-b) så kan man förkorta bort den nämnaren. Då kommer du fram till svar b.