4
svar
166
visningar
Dualitetsförhållandet behöver inte mer hjälp
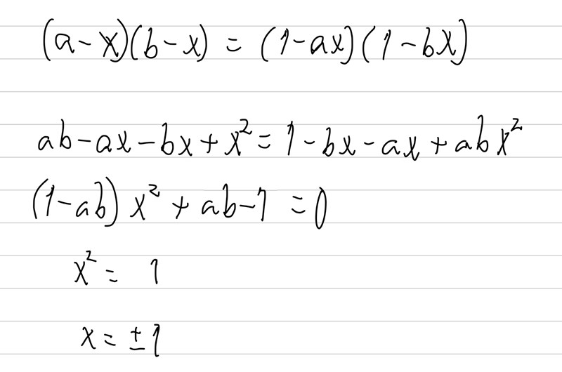
Ur likheten (a-x)(b-x)=(1-ax)(1-bx) följer vad?


Rätt svar är d, vad är fel på min beräkning?
Är det frö att (1-ab)=0 för vissa värden som min lösning är fel?
Din beräkning stämmer men du saknar lösningen .
- Om så är likheten uppfylld oavsett vilket värde har, alltså är inte (b) rätt svar.
- Om så är likheten uppfylld oavsett vilket värde har, alltså är inte (a) rätt svar.
Yngve skrev:Din beräkning stämmer men du saknar lösningen .
- Om så är likheten uppfylld oavsett vilket värde har, alltså är inte (b) rätt svar.
- Om så är likheten uppfylld oavsett vilket värde har, alltså är inte (a) rätt svar.
Ja, nu har jag lärt mig hårda vägen hur farligt det kan vara att dividera led något som kan vara 0
Den hårda vägen är ofta den bästa vägen 😉