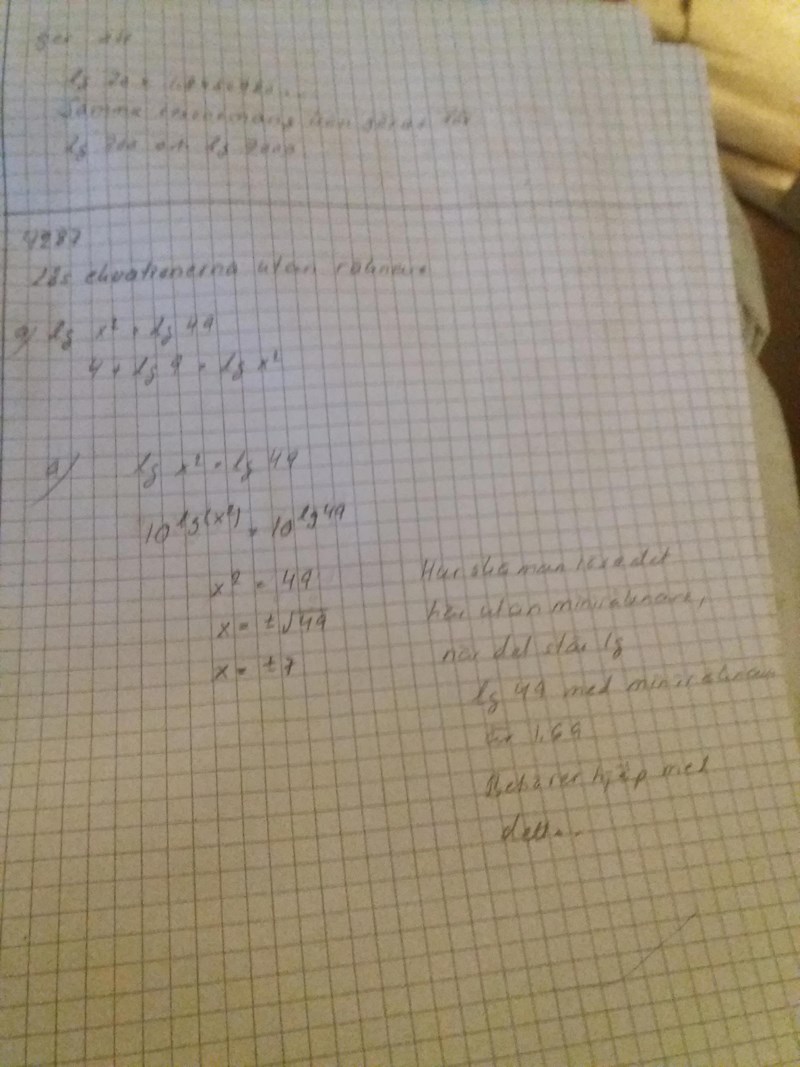
Du ska börja med att höja upp 10 i båda sidor av ledet. Så man får
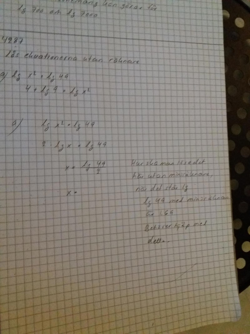
lg x^2 = lg 49 då måste
x^2=49
x=+- sqrt(49)=+- 7
joculator skrev :lg x^2 = lg 49 då måste
x^2=49 Men tänk på att lg bara är definerat för positiva värden så
x=sqrt(49)=7 (och inte -7)
x = -7 är en lösning till ekvationen. Det finns inga problem med negativa värden här eftersom och inte -49.
Gah!
jag insåg mitt fel men hann inte ändra innan du postade.
Du har missat i slutet, du har alltså tappat bort .
Varför behöver du beräkna ? Det gäller ju att .
Man brukar regel ta lg i allt.
Det är inga problem med
x^2= +/- 49
det blir roten ur 49
Och svaret plus minus7
Päivi skrev :Man brukar regel ta lg i allt.
Det är inga problem med
x^2= +/- 49
det blir roten ur 49
Och svaret plus minus7
Vet inte riktigt om jag förstår vad du menar, betyder det här att du har förstått hur du ska räkna ut uppgiften?
Ja, det är så jag menar. Man plockar det som är exponenten ner.
Päivi skrev :Man brukar regel ta lg i allt.
Jag förstår inte vad du menar. Man gör vad som behövs för att lösa uppgiften.
x^2= +/- 49
Nej, x^2 är 49
Behöver du fortfarande hjälp med denna Päivi?
Vill du fortfarande ha svar på frågan inom den gröna ramen?

Ska allting nu upphöjas och ha tio som basen och de övriga som exponenter eller vad de nu kallas för. Jag har för mig att det heter så i matematik språket. Man blir lite snurrig på det här. Det står nu lg som betyder att det ska upphöjas.
Hej!
Uppgift 4287 a.
Ekvationen är samma sak som ekvationen
som också kan skrivas
Det finns bara ett tal () som är sådant att och det är talet Det betyder att
som också kan skrivas Eftersom så har du att lösa ekvationen Konjugatregeln låter dig skriva ekvationen som
vilken visar att ekvationen har de två lösningarna och
Albiki
Tack för detta!


