Utmattning hållfasthetslära




varför har man i lösningsförslaget valt den övre av de elementarfall jag lagt in? I texten i boken står det att man räknar ut den nominella spänningen med den minsta tvärsnittsarean. Och jag tänker att i det andra fallet är ju arean 25 vilket är mindre än 44?
Jag tycker att du har rätt i att diameterövergången är mest kritisk. Ett överslag ger att blir hälften så stor om man betraktar den.
Men, det är inte helt trivialt att ta fram Koncentrationsfaktorn där, så de kanske gjorde någon slags avvägning. Har du hela lösningen?
SaintVenant skrev:Jag tycker att du har rätt i att diameterövergången är mest kritisk. Ett överslag ger att blir hälften så stor om man betraktar den.
Men, det är inte helt trivialt att ta fram Koncentrationsfaktorn där, så de kanske gjorde någon slags avvägning. Har du hela lösningen?
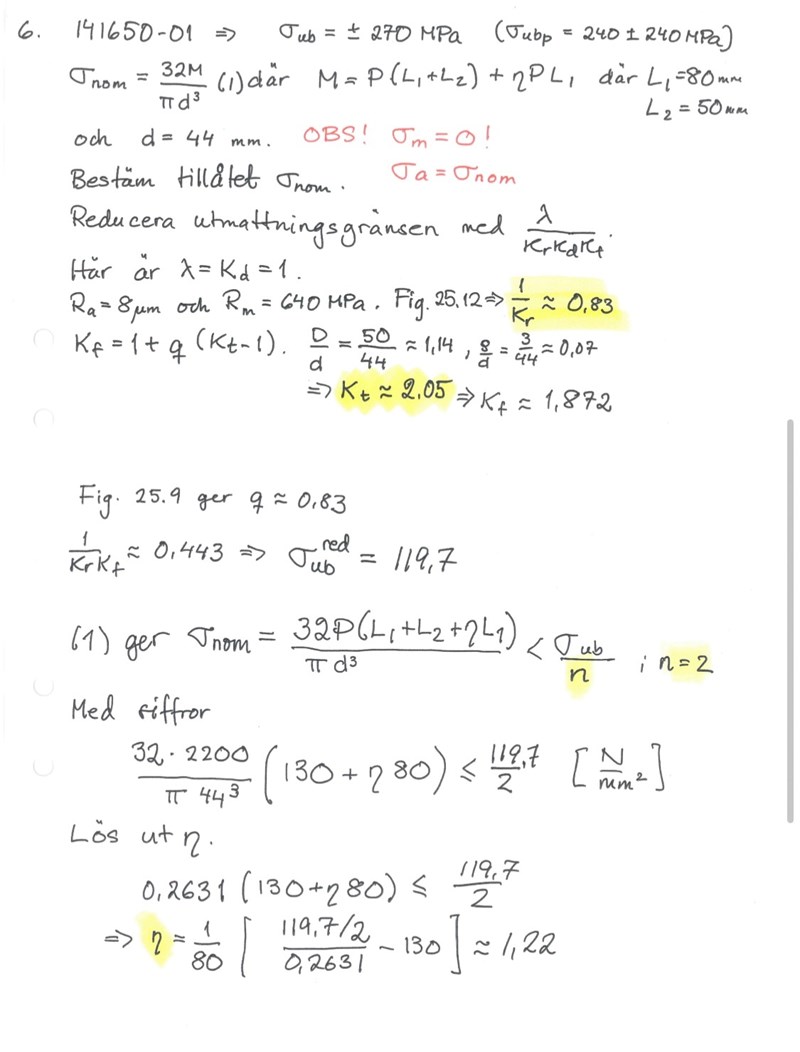
Här är hela deras lösning
Jag blev inte klokare av det där. Men jag var nog lite förhastad i min åsikt.
Det man kan visa är att böjspänningen vid diameterövergången är oberoende av lasten . Den är nämligen lika med .
Detta innebär att Dimensioneringen mot utmattning med säkerhet kan antas gälla vid diameterövergången. Det man sedan då undrar är om addition av lasten som har inverkan på utmattning vid kälen till vänster leder till en säkerhet .
Om något är oklart
Om du är osäker kan du bevisa detta för dig själv genom att räkna med båda fall.
Börja med att frilägga, snitta och ta fram böjmomenten i strukturen.
SaintVenant skrev:Jag blev inte klokare av det där. Men jag var nog lite förhastad i min åsikt.
Det man kan visa är att böjspänningen vid diameterövergången är oberoende av lasten . Den är nämligen lika med .
Detta innebär att Dimensioneringen mot utmattning med säkerhet kan antas gälla vid diameterövergången. Det man sedan då undrar är om addition av lasten som har inverkan på utmattning vid kälen till vänster leder till en säkerhet .
Om något är oklart
Om du är osäker kan du bevisa detta för dig själv genom att räkna med båda fall.
Börja med att frilägga, snitta och ta fram böjmomenten i strukturen.
Ahhh okej tack! Men hur vet man att den nya kraften ηP kommer att bidra med utmattning vid kälen och inte vid dimensionsövergången?
SaintVenant skrev:Det man kan visa är att böjspänningen vid diameterövergången är oberoende av lasten . [Böjmomentet] är nämligen lika med
[...]
Börja med att frilägga, snitta och ta fram böjmomenten i strukturen.