Uträkning
Hej!
Skulle någon vara snäll och hjälpa med en relativt enkel uppgift som jag har försökt lösa, men vet dock inte om det är rätt eller fel. Tacksam för hjälp som sagt!
Den 30% av mass solution av hydrogen peroxide har en densitet på 1,10 g/cm^3. Räkna ut polariteten av solution.

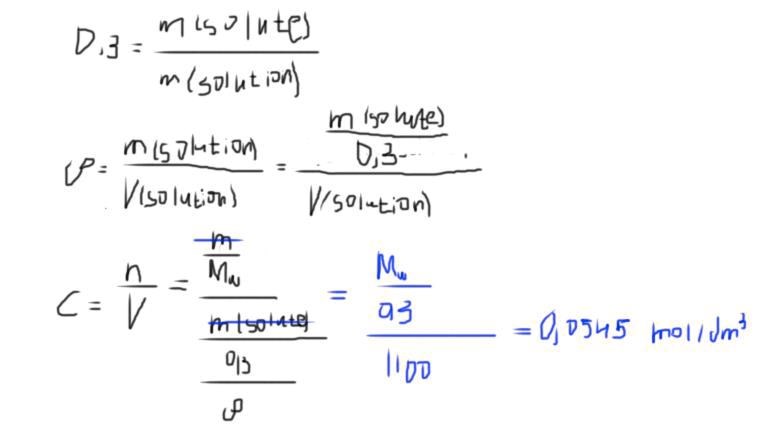
Nej, det är inte rimligt och det är förfärligt rörigt. Antar att du menar koncentration när du skriver polaritet, eftersom det verkar vara det du verkar försöka beräkna.
Räkna på 1,00 liter lösning. Eftersom densiteten är 1,10 g/cm3 har 1 liter lösning massan 1 100 g. 30 % av detta är väteperoxid, d v s 330 g.
Väteperoxid har molmassan 34 g/mol. 330 g väteperoxid är allså 330/34 = 9,71 mol.
1,00 liter av lösningen innehåller 9,71 mol väteperoxid. Koncentrationen är alltså 9,71 mol/dm3.
Varför dividerar du med 0,3? Trettio procent av m är 0,30*m.