1
svar
86
visningar
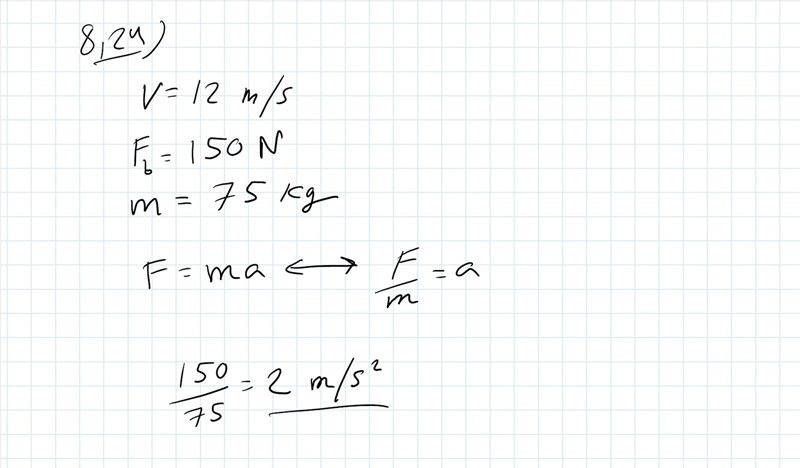
uträkning av acceleration
Hej, jag har en fråga om a uppgiften här. I facit står det är svaret är a = 2 m/s^2, vilket jag ju också får det till i min uträkning. Men borde det inte vara minus två? Alltså -2 m/s^2, eftersom det är en inbromsande rörelse?


Du har rätt. I Fysik 1 undviker en del läromedel negativ acceleration (och negativ kraft) eftersom de tror att det är förvirrande.
En jättebra interaktiv graf för att se sambandet mellan s, v och a finns här:
https://www.geogebra.org/m/STzkXKPh
